next up previous [pdf]

Next: FT as an invertible Up: Waves and Fourier sums Previous: Waves and Fourier sums

FOURIER TRANSFORM

We first examine the two ways to visualize polynomial multiplication. The two ways lead us to the most basic principle of Fourier analysis that

A product in the Fourier domain is a convolution in the physical domain

Look what happens to the coefficients when we multiply polynomials.

$\displaystyle X(Z)\, B(Z)$ $\textstyle \quad =\quad$ $\displaystyle Y(Z)$ (1)
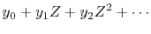
$\displaystyle (x_0 + x_1 Z + x_2 Z^2 + \cdots )\, (b_0 + b_1 Z + b_2 Z^2)$ $\textstyle \quad =\quad$ $\displaystyle y_0 + y_1 Z + y_2 Z^2 + \cdots$ (2)

Identifying coefficients of successive powers of $Z$, we get
$\displaystyle y_0$ $\textstyle \quad =\quad$ $\displaystyle x_0 b_0$  
$\displaystyle y_1$ $\textstyle \quad =\quad$ $\displaystyle x_1 b_0 + x_0 b_1$  
$\displaystyle y_2$ $\textstyle \quad =\quad$ $\displaystyle x_2 b_0 + x_1 b_1 + x_0 b_2$ (3)
$\displaystyle y_3$ $\textstyle \quad =\quad$ $\displaystyle x_3 b_0 + x_2 b_1 + x_1 b_2$  
$\displaystyle y_4$ $\textstyle \quad =\quad$ $\displaystyle x_4 b_0 + x_3 b_1 + x_2 b_2$  
  $\textstyle \quad =\quad$ $\displaystyle \cdots\cdots\cdots\cdots\cdots\cdots$  

In matrix form this looks like
\begin{displaymath}
\left[
\begin{array}{c}
y_0 \\
y_1 \\
y_2 \\
y_3 \\ ...
...[
\begin{array}{c}
b_0 \\
b_1 \\
b_2 \end{array} \right]
\end{displaymath} (4)

The following equation, called the ``convolution equation,'' carries the spirit of the group shown in (3)
\begin{displaymath}
y_k \quad =\quad \sum_{i = 0} x_{k - i} b_i
\end{displaymath} (5)

The second way to visualize polynomial multiplication is simpler. Above we did not think of $Z$ as a numerical value. Instead we thought of it as ``a unit delay operator''. Now we think of the product $X(Z) B(Z) = Y(Z)$ numerically. For all possible numerical values of $Z$, each value $Y$ is determined from the product of the two numbers $X$ and $B$. Instead of considering all possible numerical values we limit ourselves to all values of unit magnitude $Z=e^{i\omega}$ for all real values of $\omega$. This is Fourier analysis, a topic we consider next.



Subsections
next up previous [pdf]

Next: FT as an invertible Up: Waves and Fourier sums Previous: Waves and Fourier sums

2013-01-06