 |
 |
 |
 | Isotropic angle-domain elastic reverse-time migration |  |
![[pdf]](icons/pdf.png) |
Next: Examples
Up: Angle decomposition
Previous: Scalar wavefields
A similar approach can be used for decomposition of the reflectivity
as a function of incidence and reflection angles for elastic
wavefields imaged with extended imaging conditions equations
or
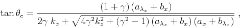
. The angle
characterizing the average angle
between incidence and reflected rays can be computed using the
expression (Sava and Fomel, 2005)
 |
(12) |
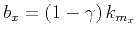
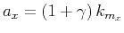
where
is the velocity ratio of the incident and reflected
waves, e.g.
ratio for incident P mode and reflected S mode.
Figure 1 shows the schematic and the notations used in equation
,
where
,
, and
is the angular
frequency at the imaging location
. The angle decomposition
equation
is designed for PS reflections and reduces to
equation
for PP reflections when
.
Angle decomposition using equation
requires computation of
an extended imaging condition with 3D space lags
(
), which is computationally costly.
Faster computation can be done if we avoid computing the vertical lag
, in which case the angle decomposition can be done using
the expression (Sava and Fomel, 2005):
 |
(13) |
where
,
,
, and
.
Figure 2 shows a model of five reflectors and the extracted angle
gathers for these reflectors at the location of the source. For PP
reflections, they would occur in the angle gather at angles equal with
the reflector slopes. However, for PS reflections, as illustrated in
Figure 2, the reflection angles are smaller than the reflector
slopes, as expected.
 |
 |
 |
 | Isotropic angle-domain elastic reverse-time migration |  |
![[pdf]](icons/pdf.png) |
Next: Examples
Up: Angle decomposition
Previous: Scalar wavefields
2013-08-29