next up previous [pdf]

Next: PEFs overcome spatial aliasing Up: Plane waves in three Previous: Plane waves in three

THE LEVELER: A VOLUME OR TWO PLANES?

In two dimensions, levelers were taken to be PEFs, small rectangular planes of numbers in which the time axis included enough points to include reasonable stepouts were included and the space axis contained one level plus another space level, for each plane-wave slope supposed to be present.

We saw that a whitening filter in three dimensions is a small volume with shape defined by subroutine createhelix(). It might seem natural that the number of points on the $ x$ - and $ y$ -axes be related to the number of plane waves present. Instead, I assert that if the volume contains plane waves, we don't want a volume filter to whiten it; we can use a pair of planar filters to do so and the order of those filters is the number of planes thought to be simultaneously present. I have no firm mathematical proofs, but I offer you some interesting discussions, examples, and computer tools for you to experiment with. It seems that some applications call for the volume filter while others call for the two planes. Because two planes of numbers generally contain many fewer adjustable values than a volume, statistical-estimation reasons also favor the planes.

What is the lowest-order filter that, when applied to a volume, will destroy one and only one slope of plane wave?

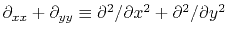
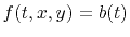
First we seek the answer to the question, ``What is the lowest order filter that will destroy one and only one plane?'' To begin with, we consider that plane to be horizontal so the volume of numbers is $ f(t,x,y) = b(t)$ where $ b(t)$ is an arbitrary function of time. One filter that has zero-valued output (destroys the plane) is $ \partial_x \equiv \partial / \partial x$ . Another is the operator $ \partial_y \equiv \partial / \partial y$ . Still another is the Laplacian operator which is $ \partial_{xx}+\partial_{yy}\equiv\partial^2/\partial x^2+\partial^2/\partial y^2$ .

The problem with $ \partial / \partial x$ is that although it destroys the required plane, it also destroys $ f(t,x,y) = a(t,y)$ where $ a(t,y)$ is an arbitrary function of $ (t,y)$ such as a cylinder with axis parallel to the $ x$ -axis. The operator $ \partial / \partial y$ has the same problem but with the axes rotated. The Laplacian operator not only destroys our desired plane, but it also destroys the well known nonplanar function $ e^{ax}\cos(ay)$ , which is just one example of the many other interesting shapes that constitute solutions to Laplace's equation.

I remind you of a basic fact: When we set up the fitting goal $ \bold 0\approx \bold A \bold f$ , the quadratic form minimized is $ \bold f\T\bold A\T \bold A \bold f$ , which by differentiation with respect to $ \bold f\T$ gives us (in a constraint-free region) $ \bold A\T\bold A\bold f = \bold 0$ . So, minimizing the volume integral (actually the sum) of the squares of the components of the gradient implies that Laplace's equation is satisfied.

In any volume, the lowest-order filter that will destroy level planes and no other wave slope is a filter that has one input and two outputs. That filter is the gradient, $ (\partial / \partial x, \partial / \partial y)$ . Both outputs vanish if and only if the plane has the proper horizontal orientation. Other objects and functions are not extinguished (except for the non-wave-like function $ f(t,x,y)= {\rm const}$ ). It is annoying that we must deal with two outputs and that will be the topic of further discussion.

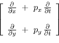
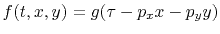
A wavefield of tilted parallel planes is $ f(t, x,y)= g(\tau -p_x x -p_y y)$ , where $ g()$ is an arbitrary one-dimensional function. The operator that destroys these tilted planes is the two-component operator $ (\partial_x + p_x \partial_t,\ \partial_y + p_y \partial_t)$ .

The operator that destroys a family of dipping planes

$\displaystyle f(t, x,y) \eq g(\tau -p_x x -p_y y)$

is

\begin{displaymath}
\left[
\begin{array}{c}
\frac{\partial }{ \partial x} \ +\ ...
...} \ +\ p_y \,\frac{\partial }{ \partial t}
\end{array}\right]
\end{displaymath}



Subsections
next up previous [pdf]

Next: PEFs overcome spatial aliasing Up: Plane waves in three Previous: Plane waves in three

2013-07-27