next up previous [pdf]

Next: Time-power amplitude-gain correction Up: Homework 1 Previous: Digital representation of numbers

Histogram equalization

byte
Figure 1.
Digital elevation map of the San Francisco Bay area.
byte
[pdf] [png] [scons]

Figure 1 shows a digital elevation map of the San Francisco Bay area. Start by reproducing this figure on your screen.

  1. Change directory to hw1/dem
  2. Run
    scons byte.view
    
  3. Examine the file byte.rsf which refers to the byte (unsigned character) numbers which get displayed on the screen.
    1. Open byte.rsf with a text editor to check its contents.
    2. Run
      sfin byte.rsf
      
      to check the data size and format.
    3. Run
      sfattr < byte.rsf
      
      to check data attributes. What is the maximum and minimum value? What is the mean value? For an explanation of different attributes, run sfattr without input.

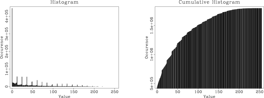
Each image has a certain distribution of values (a histogram). The histogram for the west Austin elevation map is shown in Figure 2. Notice the digitization artifacts. When different values in a histogram are not uniformly distributed, the image can have a low contrast. One way of improving the contrast is histogram equalization.

hist
hist
Figure 2.
Histogram (left) and cumulative histogram (right) of the digital elevation data.
[pdf] [png] [scons]

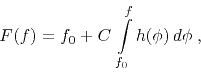
Let $f(x,y)$ be the original image. The equalized image will be $F(x,y)$. Let $h(f)$ be the histogram (probability distribution) of the original image values. Let $H(F)$ be the histogram of the modified image. The mapping of probabilities suggests

\begin{displaymath}
H(F) dF = h(f) df
\end{displaymath} (1)

or, if we want the modified histogram to be uniform,
\begin{displaymath}
\frac{d F}{d f} = C h(f) 
\end{displaymath} (2)

where C is a constant. Solving equation 2, we obtain the following mapping:
\begin{displaymath}
F(f) = f_0 + C \int\limits_{f_0}^f h(\phi) d\phi\;,
\end{displaymath} (3)

where $f_0$ is the minimum value of $f$.

The algorithm for histogram equalization consists of the following three steps:

  1. Taking an input image $f(x,y)$, compute its histogram $h(f)$.
  2. Compute the cumulative histogram $F(f)$ according to equation (3). Choose an appropriate normalization $C$ so that the range of $F$ is the same as the range of $f$.
  3. Map every pixel $f(x,y)$ to the corresponding $F(x,y)$.

Your task:

  1. Among the Madagascar programs, find a program that implements histogram equalization. Hint: you may find the sfdoc utility useful.
  2. Edit the SConstruct file to add histogram equalization. Create a new figure and compare it with Figure 1.
  3. Check the effect of equalization by recomputing the histogram in Figure 2 with equalized data. Run
    scons hist.view
    
    to display the figure on your screen.
  4. EXTRA CREDIT for implementing the histogram equalization algorithm in a different programming language.

from rsf.proj import *

# Download data
Fetch('bay.h','bay')

# Convert to byte form
Flow('byte','bay.h',
     '''
     dd form=native |
     window f2=500 n2=1500 |
     byte pclip=100 allpos=y
     ''')

# Display
Result('byte',
       '''
       grey yreverse=n label1=South-North label2=West-East 
       title="Digital Elevation Map" screenratio=0.8
       ''')

# Histogram
Flow('hist','byte',
     '''
     dd type=float |
     histogram n1=256 o1=0 d1=1 |
     dd type=float
     ''')
Plot('hist',
     'bargraph label1=Value label2=Occurence title=Histogram')

# Cumulative histogram
Flow('cumu','hist','causint')

Plot('cumu',
       '''
       bargraph label1=Value label2=Occurence
       title="Cumulative Histogram"
       ''')

Result('hist','hist cumu','SideBySideIso')

# ADD HISTOGRAM EQUALIZATION

End()


next up previous [pdf]

Next: Time-power amplitude-gain correction Up: Homework 1 Previous: Digital representation of numbers

2022-08-24