Next: Interpolation after coordinate transformation
Up: Homework 3
Previous: Prerequisites
You can either write your answers to theoretical questions on paper or
edit them in the file hw3/paper.tex. Please show all the
mathematical derivations that you perform.
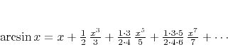
- The Taylor series expansion of the inverse sine function around zero is
 |
(1) |
- Show how one can use expansion (1) to design a
digital filter that approximates the derivative
operator.
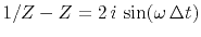
Hint: Use the identity
.
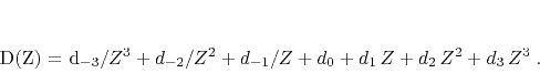
- In particular, find a seven-point derivative filter of the form
 |
(2) |
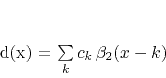
- The parabolic B-spline
is a function defined as
 |
(3) |
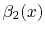
where
 |
(4) |
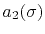
and
 |
(5) |
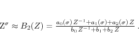
- Find an explicit expression for
.
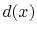
- Show that decomposing a continuous data function
into the convolution basis
with parabolic B-spines
 |
(6) |
leads to an interpolation filter of the form
 |
(7) |
Define
,
,
,
,
, and
.
Next: Interpolation after coordinate transformation
Up: Homework 3
Previous: Prerequisites
2022-10-05