next up previous [pdf]

Next: Data examples Up: Theory Previous: Signal and noise separation

Estimation of nonstationary pattern operators

Seismic events appear to be stationary in a small time-space window, but their behaviors will change with time and space. The patching method assumes seismic events with constant slope within the time-space window, which is used to deal with nonstationarity, but it may fail when encountering steeply changing slope. We consider here APEF as the pattern operator for better characterizing the pattern of nonstationary seismic data. Similar to decreasing the patch size to a data sample, the APEF without patching windows can handle the spectrum variability of seismic data in the time-space domain.

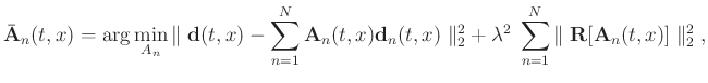
To estimate the nonstationary pattern of a 2D seismic section $ d(t,x)$ , prediction coefficients An of the APEF can be obtained as:

$\displaystyle \bar{\mathbf{A}}_{n} (t,x) = \arg \min_{A_{n}} \Vert \; \mathbf{d...
...2} \; \sum_{n=1}^{N} \Vert \; \mathbf{R} [\mathbf{A}_{n}(t,x)] \; \Vert _2^2\;,$ (10)

where $ \mathbf{d}_{n}(t,x) = \mathbf{d}(t-i,x-j)$ represents the adjacent data around $ \mathbf{d}(t,x)$ . $ i$ and $ j$ are the index of time shift and spatial shift, respectively. $ \lambda$ is the scaling parameter and $ \mathbf{R[\bullet]}$ is the shaping regularization operator Fomel (2009).

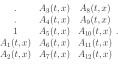
To obtain the whitening output, one needs to design APEF $ \mathbf{D}$ of data with the causal filter structure. For example, a five-sample (time) $ \times$ three-sample (space) template is shown as:

\begin{displaymath}\begin{array}{ccc} . & A_{3}(t,x) & A_{8}(t,x) \\ . & A_{4}(t...
...11}(t,x) \\ A_{2}(t,x) & A_{7}(t,x) & A_{12}(t,x) \end{array} .\end{displaymath} (11)

The structure of filter coefficients influences the prediction result, and it could be limited by the range of local slope and the variability of seismic events along the space and time axes. For steeply dipping events, it suggests a large prediction window in the time direction. Obviously, the pattern of random noise is different from that of ground-roll noise, and we calculated noise pattern $ \mathbf{N}$ according to the following approaches:

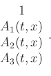
(i) Random noise: it supposes that the energy of random noise is spatially uncorrelated, and its statistical property may slightly change with time. To characterize the model of random noise, noise pattern N can be set as the shape of a column. The following is an example of the noise pattern structure with 4 (time) $ \times$ 1 (space) coefficients:

\begin{displaymath}\begin{array}{c} 1 \\ A_{1}(t,x) \\ A_{2}(t,x) \\ A_{3}(t,x) \end{array} .\end{displaymath} (12)

We can generate a noise model containing the characteristics of noise $ \mathbf{n}$ , and calculate APEF $ \mathbf{N}$ from the noise model. Also, one can directly estimate APEF $ \mathbf{N}$ of random noise from dataset $ \mathbf{d}$ , especially when there exists strong random noise in the dataset. $ \mathbf{N}$ with one-column shape can only capture the temporal spectrum of random noise, but ignores the signal predictability along the space direction in the dataset.

(ii) Ground-roll noise: due to the difference of the dominant frequency, ground-roll noise and the effective signal can usually be separated in the frequency domain. Using a low-pass filter to the data can produce a noise model. Similarly, according to the difference of slowness, the primaries can be muted in the radon domain, and a ground-roll noise model can be obtained through the inverse radon transform. Here, we first use a reliable low-pass filter to generate the ground-roll noise model, then APEF $ \mathbf{N}$ of the ground-roll noise is calculated according to the structure similar to that of data as equation 11. Due to the slower speed of the ground-roll noise, it has steep events with larger local slope, and the filter size needs to be adjusted to a larger length in the time direction.

Therefore, the proposed signal-noise separation method exploits a two-step strategy: (i) estimating data pattern $ \mathbf{D}$ and noise pattern $ \mathbf{N}$ by using the APEF, and (ii) separating signal and noise with the pattern-based method (equation 7). The further examination of the proposed method will be shown in the data examples section.


next up previous [pdf]

Next: Data examples Up: Theory Previous: Signal and noise separation

2022-04-11