next up previous [pdf]

Next: Local centroid frequency shift Up: Theory Previous: Theory

Local centroid frequency

The centroid frequency $ f_c$ with respect to the amplitude spectrum $ F(f)$ can be defined as (Quan and Harris, 1997)

$\displaystyle f_c=\frac{\int_{0}^{\infty} fF(f)df}{\int_{0}^{\infty} F(f)df},$ (1)

where $ F(f)$ is the Fourier amplitude spectrum of the signal, and the centroid frequency $ f_c$ represents the first moment along the frequency direction of the amplitude spectrum.

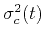
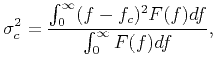
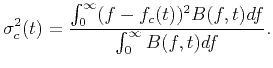
The variance $ \sigma_c^2$ of the centroid frequency can be defined as

$\displaystyle \sigma_c^2=\frac{\int_{0}^{\infty} (f-f_c)^2F(f)df}{\int_{0}^{\infty} F(f)df},$ (2)

The time-frequency spectrum $ B(f,t)$ replaces the Fourier amplitude spectrum $ F(f)$ in equations 1 and equations 2, and the instantaneous centroid frequency $ f_c(t)$ and instantaneous variance $ \sigma_c^2(t)$ of the amplitude spectrum are defined as

$\displaystyle f_c(t)=\frac{\int_{0}^{\infty} fB(f,t)df}{\int_{0}^{\infty} B(f,t)df},$ (3)

$\displaystyle \sigma_c^2(t)=\frac{\int_{0}^{\infty} (f-f_c(t))^2B(f,t)df} {\int_{0}^{\infty} B(f,t)df}.$ (4)

The above equations show that the instantaneous centroid frequency and variance are calculated instantaneously using the amplitude spectrum information at a specific time. However, at times without effective spectrum information, reasonable results cannot be obtained using this calculation method.

Fomel (2007a) defined the local attributes of the seismic signals such as local frequency and local similarity using shaping regularization. In this paper, we use a similar method to define the local centroid frequency and local variance. Equation 3 shows that the instantaneous centroid frequency is a division regarding two integrals and can be expressed in linear algebraic notation as

$\displaystyle \mathbf{f}=\mathbf{L}^{-1}\mathbf{n},$ (5)

where $ \mathbf{n}=[\int_{0}^{\infty}fB(f,t_0)df \cdots \int_{0}^{\infty}fB(f,t_n)df]^T$ represents the vector of the numerator in equation 3, $ \mathbf{f}$ represents the vector of the instantaneous centroid frequency $ f_c(t)$ , and $ \mathbf{L}=\begin{bmatrix}\int_{0}^{\infty}B(f,t_0)df & 0 & \cdots & 0 \\ 0 & ...
...s & \ddots & \vdots \\ 0 & \cdots & 0 \int_{0}^{\infty}B(f,t_n)df \end{bmatrix}$ is a diagonal matrix composed of the denominators in equation 3. Equation 5 can be regarded as an inversion problem. We use the least-squares criterion to calculate $ \mathbf{f}$ to meet the objective function $ \min\parallel{\mathbf{n}-\mathbf{L}\mathbf{f}}\parallel_2^2$ , where $ \parallel \cdot \parallel_2^2$ represents the $ l_2$ norm. The regularization condition is added to constrain the inversion problem to satisfy the local property. For example, the traditional Tikhonov regularization constrains the model $ \mathbf{f}$ to satisfy the local smoothness, and the objective function becomes

\begin{displaymath}\begin{cases}\mathbf{L}\mathbf{f}=\mathbf{n} \\ \varepsilon\mathbf{D}\mathbf{f}\approx0 \end{cases},\end{displaymath} (6)

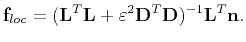
where $ \varepsilon$ controls the weight of the regularization term and $ \mathbf{D}$ is the Tikhonov regularization operator. In this case, the least-squares solution of the objective function under the regularization constraint is the local centroid frequency

$\displaystyle \mathbf{f}_{loc}=(\mathbf{L}^{T}\mathbf{L}+\varepsilon^2\mathbf{D}^{T} \mathbf{D})^{-1}\mathbf{L}^{T}\mathbf{n}.$ (7)

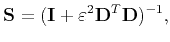
The theory of shaping regularization comes from data smoothing. It has fewer parameters and a faster convergence speed than the traditional Tikhonov regularization method. When considering shaping regularization, the shaping operator $ \mathbf{S}$ can be defined as

$\displaystyle \mathbf{S}=(\mathbf{I}+\varepsilon^2\mathbf{D}^{T}\mathbf{D})^{-1},$ (8)

and,

$\displaystyle \varepsilon^2\mathbf{D}^{T}\mathbf{D}=\mathbf{S}^{-1}\mathbf{I}.$ (9)

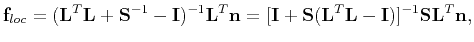
The least-squares solution under the shaping regularization constraint can be obtained by substituting the above equation into equation 7

$\displaystyle \mathbf{f}_{loc}=(\mathbf{L}^{T}\mathbf{L}+\mathbf{S}^{-1}-\mathb...
...(\mathbf{L}^{T}\mathbf{L}-\mathbf{I})]^{-1}\mathbf{S} \mathbf{L}^{T}\mathbf{n},$ (10)

when the iterative algorithm is used to solve the above problem, the scale parameter $ \lambda$ can be introduced to improve the convergence speed and preserve physical dimensionality. Usually, $ \lambda$ is chosen as the least-squares norm of $ \mathbf{L}$ (Fomel, 2007a), and the local centroid frequency $ \mathbf{f}_{loc}$ is

$\displaystyle \mathbf{f}_{loc}=[\lambda^2\mathbf{I}+\mathbf{S}(\mathbf{L}^{T}\mathbf{L}- \lambda^2\mathbf{I})]^{-1}\mathbf{S}\mathbf{L}^{T}\mathbf{n}.$ (11)

Similarly, the local variance $ \mathbf{\sigma}_{loc}^2$ can be calculated using the above method. When calculating the local centroid frequency, only one smoothing parameter is needed to control the locality and smoothness of the local centroid frequency. The local centroid frequency is not calculated instantaneously using the information at a specific time or calculated globally in a time window but is calculated locally using the information around the time. Thus, a relatively reasonable local centroid frequency can be continuously and smoothly calculated at the time of missing information (such as when the amplitude spectrum is zero). In this paper, we use the local centroid frequency to estimate the continuous time-varying Q values of the formation.


next up previous [pdf]

Next: Local centroid frequency shift Up: Theory Previous: Theory

2022-10-28