 |
 |
 |
 | Seismic dip estimation based on the two-dimensional Hilbert transform and its application in random noise attenuation |  |
![[pdf]](icons/pdf.png) |
Next: Bibliography
Up: Appendix A: Hilbert transform
Previous: Derivation of the FIR
The ideal frequency response of the Hilbert transform is expressed as
 |
(15) |
From equations 4 and A-5, we obtain the difference as
. For
 |
(16) |
and
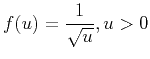
, the Taylor series
of
at center c is expressed
![$\displaystyle f(u)=\frac{1}{\sqrt{c}}\left[1+\sum_{m=1}^{\infty} \frac{(2{\rm {m}}-1)!!}{(2{\rm {m}})!!}\left(1-\frac{u}{c}\right)^m\right],$](img69.png) |
(17) |
where
,
.
Consequently, the signum function sgn
is expressed
![$\displaystyle {\rm {sgn}}\,x=\frac{x}{\sqrt{c}}\left[1+\sum_{m=1}^{\infty} \frac{(2{\rm {m}}-1)!!}{(2{\rm {m}})!!}\left(1-\frac{x^2}{c}\right)^m\right].$](img72.png) |
(18) |
We substitute sin
for
, based on
sgn
=sgn(sin
) for
, truncate the
series at the first M terms, and obtain the sinusoidal power series of
the signum function as
![$\displaystyle \rm {sgn}\,\omega=\frac{\rm {sin}\omega}{\sqrt{c}} \left[1+ \sum_...
...{sin}^2 \omega}{c}\right)^m+\circ((1-\frac{\rm {sin^2\omega}}{c})^{M+1})\right]$](img75.png) |
(19) |
The series in A-9 converges for
; that is,
has to be larger than
1/2. On the other hand, the expansion center
in the
-domain is
associated to the frequency center in the
-domain via the
relation
. Therefore,
must be less than or equal to 1. Accordingly,
is constrained by
and the corresponding
is within the
range
. Clearly, the ideal frequency response is well
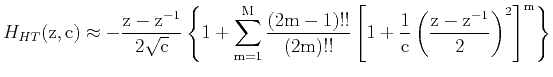
approximated within the middle frequency band. Multiplying A-9
by
and substituting
for
sin
, the transfer function for the zero phase FIR of the
Hilbert transform is expressed as
![$\displaystyle H_{HT}\rm {(z,c)}\approx-\frac{z-z^{-1}}{2\sqrt{c}} \left\{1+\sum...
...2m)!!}\left[1+\frac{1}{c} \left( \frac{z-z^{-1}}{2} \right)^2\right]^m \right\}$](img83.png) |
(20) |
To obtain the causal transfer function,
is
multiplied by
and the resultant transfer function of
the FIR Hilbert transform of the (2
+2)th-order is
![$\displaystyle \hat{H}_{HT}\rm {(z,c)}\approx-\frac{1-z^{-2}}{2\sqrt{c}} \left\{...
... \left[z^{-2}+\frac{1}{c} \left( \frac{1-z^{-2}}{2} \right)^2\right]^m \right\}$](img86.png) |
(21) |
For
=0, the transfer functions of equations A-4
and A-11 are approximated as
 |
(22) |
 |
(23) |
We compare equations A-12 and A-13, and we conclude
that these two transfer functions in middle frequency band of the
frequency domain differ by the constant coefficient
.
 |
 |
 |
 | Seismic dip estimation based on the two-dimensional Hilbert transform and its application in random noise attenuation |  |
![[pdf]](icons/pdf.png) |
Next: Bibliography
Up: Appendix A: Hilbert transform
Previous: Derivation of the FIR
2015-05-07