 |
 |
 |
 | Seismic dip estimation based on the two-dimensional Hilbert transform and its application in random noise attenuation |  |
![[pdf]](icons/pdf.png) |
Next: Synthetic data tests
Up: theory
Previous: Noniterative local dip calculation
Traditional stationary regression is used to estimate the coefficients
by minimizing the prediction error between a
``master'' signal s(
) (where
represents the
coordinates of a multidimensional space) and a collection of slave
signals
(Fomel, 2009)
 |
(7) |
When
is 1D and
,
and
, the problem of minimizing
amounts to fitting a straight line
to the master
signal. Nonstationary regression is similar to equation 7
but allows the coefficients
to vary with
, and the error
(Fomel, 2009)
 |
(8) |
is minimized to solve for the multinomial coefficients
. The
minimization becomes an ill-posed problem because
rely on
the independent variables
. To solve the ill-posed problem, we
constrain the coefficients
. Tikhonov's regularization
(Tikhonov, 1963) is a classical regularization method that amounts
to the minimization of the following functional (Fomel, 2009)
![$\displaystyle F(a)=\Vert E(\mathbf{x})\Vert^{2}+ \varepsilon^{2}\sum_{i=1}^{N}\Vert\mathbf{D}[a_{i}(\mathbf{x})]\Vert^2 ,$](img49.png) |
(9) |
where
is the regularization operator and
is
a scalar regularization parameter. When
is a linear
operator, the least-squares estimation reduces to linear inversion
(Fomel, 2009)
 |
(10) |
where
and the elements of matrix
are
|
|---|
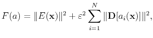
compare
Figure 2. Least-squares linear fitting
compared with nonstationary polynomial fitting.
|
|---|
|
|---|
Next, we use a simple signal to simulate the variation of the
amplitude of a nonstationary event with random noise (dashed line in
Figure 2). In Figure 2, the dot dashed
line denotes the results of the least-squares linear fitting and the
solid line denotes the results of the nonstationary polynomial
fitting. We compare the least-squares linear fitting and nonstationary
polynomial fitting results, and we find that the nonstationary
polynomial fitting models the curve variations more accurately for
events with variable amplitude, particularly for
.
 |
 |
 |
 | Seismic dip estimation based on the two-dimensional Hilbert transform and its application in random noise attenuation |  |
![[pdf]](icons/pdf.png) |
Next: Synthetic data tests
Up: theory
Previous: Noniterative local dip calculation
2015-05-07