 |
 |
 |
 | Signal and noise separation in prestack seismic data using velocity-dependent seislet transform |  |
![[pdf]](icons/pdf.png) |
Next: Bibliography
Up: Liu et al.: VD-seislet
Previous: Acknowledgments
The lifting scheme (Sweldens, 1995) provides a convenient approach
for defining wavelet transforms by breaking them down into the
following steps:
- Divide data into even and odd components,
and
.
- Find a residual difference,
, between the odd
component and its prediction from the even component:
![\begin{displaymath}
\mathbf{r} = \mathbf{o} - \mathbf{P[e]}\;,
\end{displaymath}](img94.png) |
(20) |
where
is a prediction operator.
- Find a coarse approximation,
, of the data by
updating the even component:
![\begin{displaymath}
\mathbf{c} = \mathbf{e} + \mathbf{U[r]}\;,
\end{displaymath}](img96.png) |
(21) |
where
is an update operator.
- The coarse approximation,
, becomes the new
data, and the sequence of steps is repeated at the next scale.
The Cohen-Daubechies-Feauveau (CDF) 5/3 biorthogonal wavelets
(Cohen et al., 1992) are constructed by making the prediction operator a
linear interpolation between two neighboring samples,
![\begin{displaymath}
\mathbf{P[e]}_k = \left(\mathbf{e}_{k-1} + \mathbf{e}_{k}\right)/2\;,
\end{displaymath}](img97.png) |
(22) |
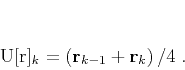
and by constructing the update operator to preserve the running
average of the signal (Sweldens and Schröder, 1996), as follows:
![\begin{displaymath}
\mathbf{U[r]}_k = \left(\mathbf{r}_{k-1} + \mathbf{r}_{k}\right)/4\;.
\end{displaymath}](img98.png) |
(23) |
Furthermore, one can create a high-order CDF 9/7 biorthogonal wavelet
transform by using CDF 5/3 biorthogonal wavelets twice with different
lifting operator coefficients (Lian et al., 2001). The transform is
easily inverted according to reversing the steps above:
- Start with the coarsest scale data representation
and the coarsest scale residual
.
- Reconstruct the even component
by reversing the
operation in equation A-2, as follows:
![\begin{displaymath}
\mathbf{e} = \mathbf{c} - \mathbf{U[r]}\;,
\end{displaymath}](img99.png) |
(24) |
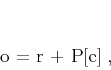
- Reconstruct the odd component
by reversing the operation in equation A-1, as follows:
![\begin{displaymath}
\mathbf{o} = \mathbf{r} + \mathbf{P[e]}\;,
\end{displaymath}](img100.png) |
(25) |
- Combine the odd and even components to generate the data at
the previous scale level and repeat the sequence of steps.
 |
 |
 |
 | Signal and noise separation in prestack seismic data using velocity-dependent seislet transform |  |
![[pdf]](icons/pdf.png) |
Next: Bibliography
Up: Liu et al.: VD-seislet
Previous: Acknowledgments
2015-10-24