next up previous [pdf]

Next: Bibliography Up: Fomel & Kazinnik: Nonhyperbolic Previous: Apendix A: Hyperbolic reflector

Appendix B: Circular reflector

In the case of a circular (cylindrical or spherical) reflector in a homogeneous velocity model, the closed-form analytical solution is complicated, because it involves a solution of a high-order polynomial equation (Landa et al., 2010). However, the traveltime surface can be easily described analytically by parametric relationships (Glaeser, 1999).

crefl
crefl
Figure 5.
Reflection from a circular reflector in a homogeneous velocity model (a scheme).
[pdf] [png] [xfig]

Consider the reflection geometry shown in Figure P-1. According to the trigonometry of the reflection triangles, the source and receiver positions can be expressed as

$\displaystyle s$ $\displaystyle =$ $\displaystyle R \sin{\gamma} + (L - R \cos{\gamma}) \tan{(\gamma-\theta)}\;,$ (32)
$\displaystyle r$ $\displaystyle =$ $\displaystyle R \sin{\gamma} + (L - R \cos{\gamma}) \tan{(\gamma+\theta)}\;,$ (33)

where $ R$ is the reflector radius, $ D$ is the minimum reflector depth, $ L=D+R$ , $ \gamma$ is the reflector dip angle at the reflection point, and $ \theta$ is the reflection angle. Correspondingly, the midpoint and half-offset coordinates are expressed as
$\displaystyle m$ $\displaystyle =$ $\displaystyle R \sin{\gamma} + (L - R \cos{\gamma}) \frac{\cos{\gamma} \sin{\gamma}}{\cos^2{\theta} - \sin^2{\gamma}}\;,$  
$\displaystyle h$ $\displaystyle =$ $\displaystyle (L - R \cos{\gamma}) \frac{\cos{\theta} \sin{\theta}}{\cos^2{\theta} - \sin^2{\gamma}}\;,$ (34)

and the reflection traveltime is expressed as
$\displaystyle t$ $\displaystyle =$ $\displaystyle \frac{L - R \cos{\gamma}}{V} \left[\frac{1}{\cos{(\gamma-\theta)}} + \frac{1}{\cos{(\gamma+\theta)}}\right]$  
  $\displaystyle =$ $\displaystyle 2 \frac{L - R \cos{\gamma}}{V} \frac{\cos{\gamma} \cos{\theta}}{\cos^2{\theta} - \sin^2{\gamma}}\;,$ (35)

where $ V$ is the medium velocity. Equations (P-3-P-4) define the reflection traveltime surface $ t(m,h)$ parametrically via the dependence $ \{m(\gamma,\theta),h(\gamma,\theta),t(\gamma,\theta)\}$ . The connection with the multifocusing parameters is given by
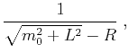
$\displaystyle t_0$ $\displaystyle =$ $\displaystyle \frac{2 \left(\sqrt{m_0^2 + L^2}-R\right)}{V}$ (36)
$\displaystyle K_{NIP}$ $\displaystyle =$ $\displaystyle \frac{1}{\sqrt{m_0^2 + L^2}-R}\;,$ (37)
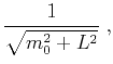
$\displaystyle K_N$ $\displaystyle =$ $\displaystyle \frac{1}{\sqrt{m_0^2 + L^2}}\;,$ (38)
$\displaystyle \sin{\beta}$ $\displaystyle =$ $\displaystyle \frac{m_0}{\sqrt{m_0^2 + L^2}}\;,$ (39)

and $ V_0=V$ .


next up previous [pdf]

Next: Bibliography Up: Fomel & Kazinnik: Nonhyperbolic Previous: Apendix A: Hyperbolic reflector

2013-03-02