next up previous [pdf]

Next: Bibliography Up: Song & Fomel: FFD Previous: Conclusions

Acknowledgement

We thank BP for releasing benchmark synthetic models, Bjorn Enquist, Paul Fowler and Lexing Ying for useful discussions, and John Etgen, Stig Hestholm, Erik Saenger and two anonymous reviewers for helpful reviews.

This publication is authorized by the Director, Bureau of Economic Geology, The University of Texas at Austin.

Appendix A

FFD for TTI media

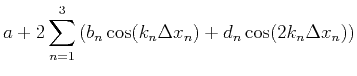
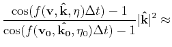
To develop a 25-point finite-difference scheme analogous to equation 7 for FFD in 3D TTI media, we first apply the following approximation:
$\displaystyle {\frac{\cos(f(\mathbf{v},\mathbf{\hat{k}},\eta)\Delta t)-1}{\cos(...
...0},\mathbf{\hat{k_0}},\eta_0)\Delta t)-1}\vert\mathbf{\hat{k}}\vert^2 \approx }$
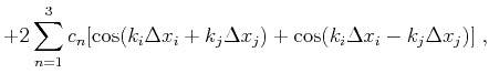
$\displaystyle \displaystyle$   $\displaystyle a + 2 \sum^{3}_{n=1}{(b_n\cos(k_n\Delta x_n)+d_n\cos(2k_n\Delta x_n))}$  
$\displaystyle \displaystyle$   $\displaystyle + 2 \sum^{3}_{n=1}{c_n [\cos(k_i\Delta x_i+k_j\Delta x_j) + \cos(k_i\Delta x_i-k_j\Delta x_j)]} \;,\nonumber$  

where $ i,j=1,2,3;\,i\neq j;\,i,j\neq n$ .

In approximation A-1, $ f(\mathbf{v},\mathbf{\hat{k}},\eta)$ is a function as in expression 10 and $ a$ , $ b_n$ , $ c_n$ and $ d_n$ are coefficients determined from the Taylor expansion around $ k=0$ .

Notice that we multiply the left-hand side with $ \vert\mathbf{\hat{k}}\vert^2$ , so one needs to multiply $ \hat{p}(\mathbf{\hat{k},t})$ with $ \displaystyle\frac{2[\cos(f(\mathbf{v_0},\mathbf{k},\eta_0)\Delta
t)-1]}{\vert\mathbf{\hat{k}}\vert^2}$ .

The coefficients for Equation A-1 are derived in Table 1 and Table 2. $ w_{n0}$ , $ h_{n0}$ , $ p_{n0}$ and $ q_{n0}$ have similar expressions as above in Table 2 with $ \mathbf{v}$ , $ \eta $ and $ \theta $ substited by the corresponding reference values: RMS velocity $ \mathbf{v}_0$ , average anisotropic parameter $ \eta_0$ and average tilt angles $ \theta_0$ and $ \phi_0$ .

$ a$ $ \displaystyle a=-2b_1-2b_2-2b_3-4c_1-4c_2-4c_3-2d_1-2d_2-2d_3$
$ b$ $ \displaystyle b_1=-2c_2-2c_3-4d_1-\frac{w_1+h_1}{\Delta x_1^2(w_{10}+h_{10})}$
$ c$ $ \displaystyle b_2=-2c_1-2c_3-4d_2-\frac{w_2+h_2}{\Delta x_2^2(w_{20}+h_{20})}$
$ d$ $ \displaystyle b_3=-2c_1-2c_2-4d_3-\frac{w_3+h_3}{\Delta x_3^2(w_{30}+h_{30})}$
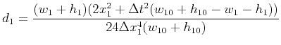
$ e$ $ \displaystyle d_1=\frac{(w_1+h_1)(2x_1^2+\Delta t^2(w_{10}+h_{10}-w_1-h_1))}{24\Delta x_1^4(w_{10}+h_{10})}$
$ f$ $ \displaystyle d_2=\frac{(w_2+h_2)(2x_2^2+\Delta t^2(w_{20}+h_{20}-w_2-h_2))}{24\Delta x_2^4(w_{20}+h_{20})}$
$ g$ $ \displaystyle d_3=\frac{(w_3+h_3)(2x_3^2+\Delta t^2(w_{30}+h_{30}-w_3-h_3))}{24\Delta x_3^4(w_{30}+h_{30})}$
$ h$ \begin{displaymath}\begin{array}{c} \displaystyle c_1=\frac{1}{12\Delta x_2^2\De...
...+q_10-p1-q1)}{12\Delta x_2^2\Delta x_3^2(p_10+q_10)}\end{array}\end{displaymath}
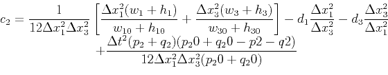
$ i$ \begin{displaymath}\begin{array}{c} \displaystyle c_2=\frac{1}{12\Delta x_1^2\De...
...+q_20-p2-q2)}{12\Delta x_1^2\Delta x_3^2(p_20+q_20)}\end{array}\end{displaymath}
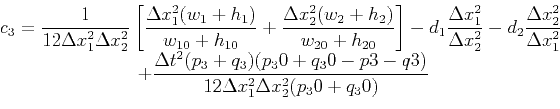
$ j$ \begin{displaymath}\begin{array}{c} \displaystyle c_3=\frac{1}{12\Delta x_1^2\De...
...+q_30-p3-q3)}{12\Delta x_1^2\Delta x_2^2(p_30+q_30)}\end{array}\end{displaymath}

Table A-1. Coefficients for equation A-1.

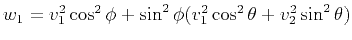
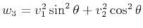
$ a$ $ w_1=v_1^2\cos^2\phi+\sin^2\phi(v_1^2\cos^2\theta+v_2^2\sin^2\theta)$
$ b$ $ w_2=(v_1^2+v_2^2)\cos^2\phi\cos^2\theta+v_1^2\sin^2\theta$
$ c$ $ w_3=v_1^2\sin^2\theta+v_2^2\cos^2\theta$
$ d$ $ \displaystyle h_1=\sqrt{w1^2-\frac{8\eta v_1^2v_2^2\sin^2\phi(\cos^2\phi+\sin^2\phi\cos^2\theta)\sin^2\theta}{1+2\eta}}$
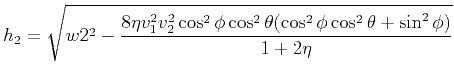
$ e$ $ \displaystyle h_2=\sqrt{w2^2-\frac{8\eta v_1^2v_2^2\cos^2\phi\cos^2\theta(\cos^2\phi\cos^2\theta+\sin^2\phi)}{1+2\eta}}$
$ f$ $ \displaystyle h_3=\sqrt{w3^2-\frac{8\eta v_1^2v_2^2\cos^2\theta\sin^2\theta}{1+2\eta}}$
$ g$ $ p_1=w_2+w_3+v_1^2\cos\phi\sin2\theta-2v_2^2\cos\phi\cos^2\theta$
$ h$ $ \displaystyle q_1=\sqrt{p_1^2-\frac{32\eta v_1^2v_2^2\cos^2\theta\sin^4\frac{\...
...(\cos^2\phi\cos^2\theta+\sin^2\theta+\sin^2\phi+\cos\phi\sin2\theta)}{1+2\eta}}$
$ i$ $ p_2=w_1+w_3+(v_2^2-v_1^2)\sin\phi\sin2\theta$
$ j$ $ \displaystyle q_2=\sqrt{p_2^2-\frac{8\eta v_1^2v_2^2(\cos\theta+\sin\phi\sin\theta)^2(\cos^2\phi+(\cos\theta\sin\phi-\sin\theta)^2)}{1+2\eta}}$
$ k$ $ p_3=w_1+w_2+v_1^2\sin^2\theta\sin2\phi+\frac{1}{2}v_2^2\sin2\phi\sin2\theta$
$ l$ $ \displaystyle q _3=\sqrt{p_3^2-\frac{4\eta v_1^2v_2^2\cos^2(\phi+\theta)(\sin2\phi\cos2\theta-3-\cos2\theta-\sin2\phi)}{1+2\eta}}$

Table A-2. Coefficients for Table 1.


next up previous [pdf]

Next: Bibliography Up: Song & Fomel: FFD Previous: Conclusions

2013-03-02