next up previous [pdf]

Next: Conclusion Up: Liu and Fomel: Local Previous: Application to Ground-roll attenuation

Application to multicomponent data registration

Multicomponent seismic data provide additional information about subsurface physical characteristics (Stewart et al., 2003). Joint interpretation of multiple image components depends on our ability to identify and register reflection events from similar reflectors. Fomel and Backus (2003) and Fomel et al. (2005) proposed a multistep approach for registering PP and PS images, and identified spectral differences between PP and PS images as a major problem that prevents an easy automatic registration. The new LTF decomposition can provide a natural domain for nonstationary spectral balancing of multicomponent images.

vpp vss
vpp,vss
Figure 11.
PP (a) and SS (b) images from a nine-component land survey.
[pdf] [pdf] [png] [png] [scons]

vnails
vnails
Figure 12.
Three ``nails'' for PP and SS time correlation identified by initial image interpretation and fitted to a straight line.
[pdf] [png] [scons]

vect-ppft-0a vect-psft-0a vect-ppft-0c vect-psft-0c
vect-ppft-0a,vect-psft-0a,vect-ppft-0c,vect-psft-0c
Figure 13.
Time-frequency spectra in LTF decomposition domain. PP before balancing (a), SS after initial warping (b), PP after balancing (c), and warped SS after balancing (d).
[pdf] [pdf] [pdf] [pdf] [png] [png] [png] [png] [scons]

vect-psw-0c
vect-psw-0c
Figure 14.
Three stages for PP and SS registration. Initial warping (top), nonstationary spectral balancing (middle), and final registration after warping scan (bottom).
[pdf] [png] [scons]

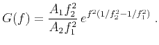
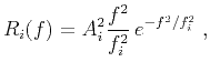
Figure 11a and b show seismic images from compressional (PP) and shear (SS) reflections obtained by processing a land nine-component survey (Fomel, 2007a). One can use ``image warping'' (Wolberg, 1990) to squeeze the SS image to PP reflection time and make the two images display in the same coordinate system. Using initial interpretation and well-log analysis, we identified three individual correlation ``nails'' in the terminology of DeAngelo et al. (2003). Fitting a straight line through the nails suggests a constant initial $ V_P/V_S$ ratio (Figure 12). For illustration of spectral balancing, we select the 300th trace in the PP and SS images and then warp (squeeze) SS time to PP time by using the initial $ V_P/V_S$ ratio. The corresponding local time-frequency spectra are shown in Figures 13a and b. The SS-trace frequency appears higher in the shallow part of the image because of a relatively low S-wave velocity but lower in the deeper part of the image because of the apparently stronger attenuation of shear waves. Spectral balancing essentially smoothes the high-frequency image to match the low-frequency image. The LTF decompositions provide a nonstationary domain for time-varying spectral balancing. Our spectral balancing works as follows. For each time slice in LTF domains, we use three steps:

  1. Match the PP and SS spectra by least-squares fitting with Ricker spectra

    $\displaystyle R_i(f)=A^2_i\frac{f^2}{f^2_i} e^{-f^2/f^2_i}\;,$ (5)

    where $ f$ is frequency axis and get the dominant frequencies $ f_1$ and $ f_2$ ($ f_2 > f_1$ ) and the corresponding amplitudes $ A_1$ and $ A_2$ .
  2. Use the estimated Ricker parameters to design a matching Gaussian filter

    $\displaystyle G(f)=\frac{A_1 f^2_2}{A_2 f^2_1} e^{f^2 (1/f^2_2 - 1/f^2_1)}\;.$ (6)

  3. Shrink the high-frequency spectra to match the low-frequency spectra by applying the Gaussian filter.
The LTF spectra of PP and warped SS trace after nonstationary spectral balancing are shown in Figure 13c and d, respectively, which shows a reasonable similarity between the PP and SS traces for both shallow and deep parts. The inverse LTF decomposition reconstructs balanced PP and SS waveforms in the time domain. Figure 14 displays PP trace, SS trace, and the difference between the two traces in time domain, which are compared for three stages of automatic data registration (Fomel et al., 2005). Residual $ \gamma$ scan is an algorithm for rapid scanning of the field of possible registrations. After applying residual $ \gamma$ scan to update $ V_P/V_S$ ratio, the difference between balanced PP and registered SS traces is substantially reduced compared to the initial registration. The final registration result is visualized in Figure 15, which shows interleaved traces from PP and SS images before and after registration. The alignment of main seismic events (especially those at locations ``A'' and ``B'') is an indication of successful registration.

before after
before,after
Figure 15.
Interleaved traces from PP and SS images before (a) and after (b) multicomponent registration.
[pdf] [pdf] [png] [png] [scons]


next up previous [pdf]

Next: Conclusion Up: Liu and Fomel: Local Previous: Application to Ground-roll attenuation

2013-04-13