next up previous [pdf]

Next: Tilted Orthorhombic Anisotropy Up: Theory Previous: Acoustic Wave Extrapolation

Dispersion Relation for Orthorhombic Anisotropic Media

In transversely isotropic (TI) media, the model is fully characterized by five elastic parameters and density. In orthorhombic media, nine elastic parameters and density are needed to describe the elastic model. The stiffness tensor $c_{ijkl}$ for an orthorhombic model can be represented, using the compressed two-index Voigt notation, as follows:

\begin{displaymath}
\mathbf{C}= \left[\begin{array}{llllll}
c_{11} & c_{12} ...
...55} & 0 \\
0 & 0 & 0 & 0 & 0 & c_{66}
\end{array}\right].
\end{displaymath} (7)

Instead of strictly adhering to the orthorhombic media used by Tsvankin (2005,1997), Alkhalifah (2003) slightly changed the notations and used the following nine parameters determined from the above stiffness tensor:

\begin{displaymath}
\begin{array}{l}
v_v=\sqrt{\frac{c_{33}}{\rho}} \\
v_{...
...-(c_{11}-c_{66})^2}{2c_{11}(c_{11}-c_{66})}, \\
\end{array}
\end{displaymath} (8)

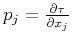
where $v_v$ is P-wave vertical phase velocity, $v_{s1}$ and $v_{s2}$ are S-wave vertical phase velocity polarized in the $[x_2,x_3]$ and $[x_1,x_3]$ planes, $v_{s3}$ is S-wave horizontal phase velocity polarized in the $[x_1,x_3]$ but propagating in the $x_1$ direction, $v_1$ and $v_2$ are NMO P-wave velocities for horizontal reflectors in the $[x_1,x_3]$ and $[x_2,x_3]$ planes, and $\eta_1$, $\eta_2$, and $\delta$ are anisotropic parameters in the $[x_1,x_3]$, $[x_2,x_3]$, and $[x_1,x_2]$ planes.

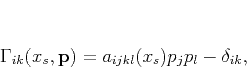
The Christoffel equation in 3D anisotropic media takes the following general form (Chapman, 2004):

\begin{displaymath}
\Gamma_{ik}(x_s,\mathbf{p})=a_{ijkl}(x_s)p_jp_l-\delta_{ik},
\end{displaymath} (9)

with $p_j=\frac{\partial \tau}{\partial x_j}$ and $a_{ijkl}=\frac{c_{ijkl}}{\rho}$, where $p_j$ are components of the phase vector $\mathbf{p}$, $\tau$ is travel-time along the ray, $\rho$ is density, $x_s, s=1,2,3$ are Cartesian coordinates for position along the ray, and $\delta_{ik}$ is the Kronecker delta function.

Alkhalifah (1998) pointed out that setting the S-wave velocity to zero does not compromise accuracy in traveltime computations for TI media. This conclusion can be applied to orthorhombic media as well (Tsvankin, 1997). Alkhalifah (2003) showed that the kinematics of wave propagation is well described by acoustic approximation.

In orthorhombic media, the Christoffel equation 9 reduces to the following form if $v_{s1}$, $v_{s2}$, and $v_{s3}$ are set to zero:

\begin{displaymath}
\left[\begin{array}{lll}
p_1^2v_1^2\xi_1-1 & \gamma p_1p...
...1p_3v_1v_v & p_2p_3v_2v_v & p_3^2v_v^2-1
\end{array}\right],
\end{displaymath} (10)

where $\gamma=\sqrt{1+2\delta}$, $\xi_1=1+2\eta_1$ and $\xi_2=1+2\eta_2$.

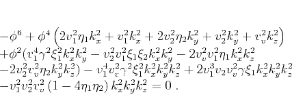
We evaluate the determinant of matrix 10 and set it to zero. After replacing $p_1$ with $\frac{k_x}{\phi}$, $p_2$ with $\frac{k_y}{\phi}$, and $p_3$ with $\frac{k_z}{\phi}$, we obtain a cubic polynomial in $\phi^2$ as follows:

\begin{displaymath}
\begin{array}{l}
-\phi ^6+\phi ^4 \left(2 v_1^2 \eta _1 k...
...t(1-4 \eta _1 \eta _2\right) k_x^2 k_y^2 k_z^2=0\;.
\end{array}\end{displaymath} (11)

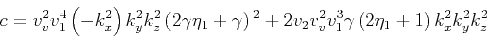
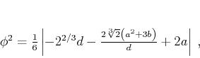
One of the roots of the cubic polynomial corresponds to P-waves in acoustic media and is given by the following expression:

\begin{displaymath}
\phi^2=\frac{1}{6}\left\vert-2^{2/3}d -\frac{2 \sqrt[3]{2} \left(a^2+3 b\right)}{d}+2 a\right\vert\;,
\end{displaymath} (12)

where


\begin{displaymath}a=2 v_1^2 \eta _1 k_x^2+v_1^2 k_x^2+2 v_2^2 \eta _2 k_y^2+v_2^2k_y^2+v_v^2 k_z^2,\end{displaymath}


\begin{displaymath}b=v_1^4 k_x^2 k_y^2 \left(2 \gamma \eta _1+\gamma \right){}^2...
...2 \left(2 \eta _1+1\right) \left(2 \eta _2+1\right) k_x^2 k_y^2\end{displaymath}


\begin{displaymath}-2
v_v^2 v_1^2 \eta _1 k_x^2 k_z^2-2 v_2^2 v_v^2 \eta _2 k_y^2 k_z^2,\end{displaymath}


\begin{displaymath}c=v_v^2 v_1^4 \left(-k_x^2\right) k_y^2 k_z^2 \left(2 \gamma ...
..._2 v_v^2 v_1^3 \gamma \left(2 \eta_1+1\right) k_x^2 k_y^2 k_z^2\end{displaymath}


\begin{displaymath}-v_2^2 v_v^2 v_1^2 \left(1-4 \eta _1 \eta_2\right) k_x^2 k_y^2 k_z^2,\end{displaymath}


\begin{displaymath}d=\sqrt[3]{-2 a^3+3 \left(e-9 c\right)-9
a b},\end{displaymath}


\begin{displaymath}e=\sqrt{\vert-3 b^2\left(a^2+4 b\right)+6 a c \left(2 a^2+9 b\right)+81 c^2\vert}.\end{displaymath}

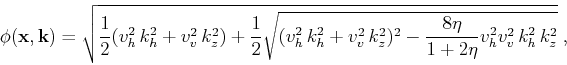
This root reduces to the isotropic $P$-wave solution when we set $v_1=v_2=v_3=v$, $\eta_1=\eta_2=0$, and $\gamma=1$, in which $\phi$ in expression 12 is then given by $\vert\mathbf{k}\vert v$, which is the same dispersion relation in isotropic media as that is shown in equation 6. In VTI media: $v_1=v_2=v$, $\eta_1=\eta_2=\eta$, and $\gamma=1$, $\phi$ in expression 12 reduces to

\begin{displaymath}
\phi(\mathbf{x},\mathbf{k})=\sqrt{\frac{1}{2}(v_h^2 {k}_h^2...
... k_z^2)^2-\frac{8\eta}{1+2\eta}v_h^2v_v^2 k_h^2 k_z^2}}\;,
\end{displaymath} (13)

where $v_h=v \sqrt{1+2\eta}$ is the P-wave phase velocity in the symmetry plane, and ${k}_h=\sqrt{{k}_x^2+{k}_y^2}$. Expression 13 is the same as the dispersion relation for VTI media (Fomel, 2004; Alkhalifah, 1998,2000).


next up previous [pdf]

Next: Tilted Orthorhombic Anisotropy Up: Theory Previous: Acoustic Wave Extrapolation

2013-06-25