next up previous [pdf]

Next: Partial differential equations for Up: Cameron, Fomel, Sethian: Velocity Previous: Time Migration Velocity

Seismic Velocity

In this section, we will establish theoretical relationships between time-migration velocity and seismic velocity in 2-D and 3-D.

The seismic velocity and the Dix velocity are connected through the quantity $ \mathbf{Q}$ , the geometrical spreading of image rays. $ \mathbf{Q}$ is a scalar in 2-D and a $ 2\times 2$ matrix in 3-D. The simplest way to introduce $ \mathbf{Q}$ is the following. Trace an image ray $ \mathbf{x}(\mathbf{x}_0,t)$ . $ \mathbf{x}_0$ is the starting surface point, $ t$ is the traveltime. Call this ray central. Consider a small tube of rays around it. All these rays start from a small neighborhood $ d\mathbf{x}_0$ of the point $ \mathbf{x}_0$ perpendicular to the earth surface. Thus, they represent a fragment of a plane wave propagating downward. Consider the fragment of the wave front defined by this ray tube at time $ t_0$ . Let $ d\mathbf{q}$ be the fragment of the tangent to the front at the point $ \mathbf{x}(\mathbf{x}_0,t_0)$ reached by the central ray at time $ t_0$ , bounded by the ray tube (Figure 1). Then, in 2-D, $ Q$ is the derivative $ Q(x_0,t_0)=\frac{dq}{dx_0}$ . In 3-D, $ \mathbf{Q}$ is the matrix of the derivatives $ \mathbf{Q}_{ij}(\mathbf{x}_0,t_0)=
\frac{d\mathbf{q}_i}{d\mathbf{x}_{0j}}$ , $ i,j=1,2$ , where derivatives are taken along certain mutually orthogonal directions $ \mathbf{e}_1$ , $ \mathbf{e}_2$ (Popov, 2002; Popov and Pšencik, 1978; Cervený, 2001).

Qdef
Qdef
Figure 1.
Illustration for the definition of geometrical spreading.
[pdf] [png]

The time evolution of the matrices $ \tensor{Q}$ and $ \tensor{P}$ is given by

$\displaystyle \frac{d}{dt}\left(\begin{array}{c}\tensor{Q}\\ \tensor{P}\end{arr...
...{array}\right) \left(\begin{array}{c}\tensor{Q}\\ \tensor{P}\end{array}\right),$ (9)

where $ v_0$ it the velocity at the central ray at time $ t$ , $ \tensor{V}=\left(\frac{\partial^2 v}{\partial q_i\partial
q_j}\right)_{i,j=1,2}$ , and $ \tensor{I}$ is the $ 2\times 2$ identity matrix. The absolute value of $ \det \mathbf{Q}$ has a simple meaning: it is the geometrical spreading of the image rays (Popov, 2002; Popov and Pšencik, 1978; Cervený, 2001). The matrix $ \tensor{\Gamma}$ , introduced in the previous section, relates to $ \tensor{Q}$ and $ \tensor{P}$ as $ \tensor{\Gamma}=\tensor{P}\tensor{Q}^{-1}$ . Hence, $ \tensor{K}=\tensor{Q}\tensor{P}^{-1}$ .

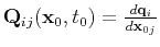
In (Cameron et al., 2007), we have proven that

$\displaystyle v_{Dix}(x_0,t_0)\equiv\sqrt{\frac{\partial}{\partial t_0} \left(t_0v_m^2(x_0,t_0)\right)}= \frac{v(x(x_0,t_0),z(x_0,t_0))}{\vert Q(x_0,t_0)\vert}$ (10)

in 2-D, where $ v_m(x_0,t_0)$ is the time-migration velocity, and

$\displaystyle \frac{\partial}{\partial t_0} \left(\tensor{K}(\mathbf{x}_0,t_0)\...
...))\left(\mathbf{Q}(\mathbf{x}_0,t_0) \mathbf{Q}^T(\mathbf{x}_0,t_0)\right)^{-1}$ (11)

in 3-D, $ \tensor{K}$ is defined by equation 6 and can be determined from equation 7.


next up previous [pdf]

Next: Partial differential equations for Up: Cameron, Fomel, Sethian: Velocity Previous: Time Migration Velocity

2013-03-02