next up previous contents [pdf] index

Next: sf_causint_lop Up: Linear operators Previous: Input parameters

Causal integration (causint.c)

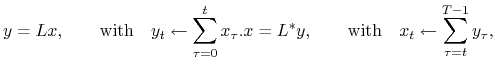
This causal integration operator is defined by


Its adjoint is


$\displaystyle y = Lx, \qquad\textrm{with}\quad y_t \leftarrow \sum_{\tau=0}^tx_\tau.x = L^*y,\qquad\textrm{with}\quad x_t \leftarrow \sum_{\tau=t}^{T-1}y_\tau,$    

where $ T$ is the total number of samples of $ x$ .



Subsections


2011-07-02