next up previous [pdf]

Next: colormaps Up: Dummy paper Previous: colormaps

spitz

gdata
gdata
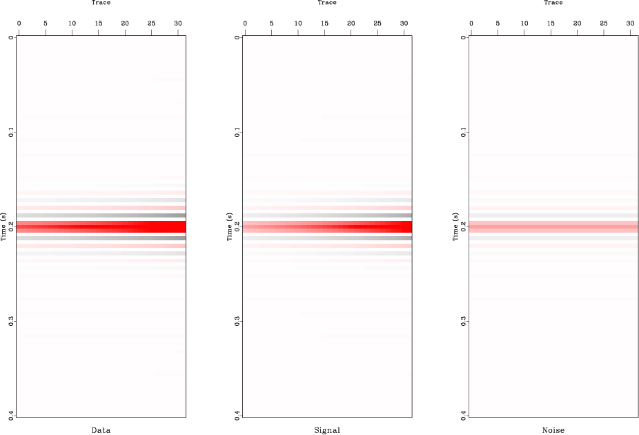
Figure 31.
spitz/gdata
[pdf] [png] [scons]

band
band
Figure 32.
spitz/band
[pdf] [png] [scons]




2014-10-18