next up previous [pdf]

Next: Wavenumber in helical coordinates Up: Theory Previous: Theory

Linking 1-D and 2-D FFT's

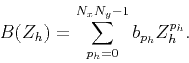
Taking the one-dimensional $Z$ transform of ${\bf b}$ in the helical coordinate system gives
\begin{displaymath}
B(Z_h) = \sum_{p_h=0}^{N_x N_y -1} b_{p_h} Z_h^{p_h}.
\end{displaymath} (1)

Here, $Z_h$ represents the unit delay operator in the sampled (helical) coordinate system. The summation in equation (1) can be split into two components,
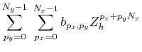
$\displaystyle B(Z_h)$ $\textstyle =$ $\displaystyle \sum_{p_y=0}^{N_y-1} \; \sum_{p_x=0}^{N_x-1} b_{p_x,p_y}
Z_h^{p_x+ p_y N_x}$ (2)
  $\textstyle =$ $\displaystyle \sum_{p_y=0}^{N_y-1} \; \sum_{p_x=0}^{N_x-1} b_{p_x,p_y}
\; Z_h^{p_x} \; Z_h^{N_x p_y}.$ (3)

Ignoring boundary effects, a single unit delay in the helical coordinate system is equivalent to a single unit delay on the $x$-axis; similarly, but irrespective of boundary conditions, $N_x$ unit delays in the helical coordinate system are equivalent to a single delay on the $y$-axis. This leads to the following definitions of $Z_h$ and $Z_h^{N_x}$ in terms of delay operators, $Z_x$ and $Z_y$, or wavenumbers, $k_x$ and $k_y$:

$\displaystyle Z_h$ $\textstyle \approx$ $\displaystyle Z_x \; = \; e^{i k_x \Delta x},$ (4)
$\displaystyle Z_h^{N_x}$ $\textstyle =$ $\displaystyle Z_y \; = \; e^{i k_y \Delta y},$ (5)

where $\Delta x$ and $\Delta y$ define the grid-spacings along the $x$ and $y$-axis respectively.

Substituting equations (4) and (5) into equation (3) leaves

$\displaystyle B(k_x,k_y) \; = \; B(Z_h)$ $\textstyle =$ $\displaystyle \sum_{p_y=0}^{N_y-1} \; \sum_{p_x=0}^{N_x-1}
b_{p_x,p_y} \; Z_x^{p_x} \; Z_y^{p_y}$ (6)
  $\textstyle =$ $\displaystyle \sum_{p_y=0}^{N_y-1} \; \sum_{p_x=0}^{N_x-1}
b_{p_x,p_y} \; e^{i k_x \Delta x p_x} \;
e^{i k_y \Delta y p_y}.$ (7)

Equation (7) implies that, if we ignore boundary effects, the one-dimensional FFT of ${\bf b}(x,y)$ in helical coordinates is equivalent to its two-dimensional Fourier transform.


next up previous [pdf]

Next: Wavenumber in helical coordinates Up: Theory Previous: Theory

2013-03-03