 |
 |
 |
 | Plane wave prediction in 3-D |  |
![[pdf]](icons/pdf.png) |
Next: Examples
Up: Fomel: 3-D plane waves
Previous: Factorizing plane waves
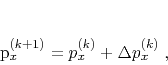
It may seem difficult to estimate the plane slope
for a
Lax-Wendroff filter of the form (10) because
appears
non-linearly in the filter coefficients. However, using the analytical
form of the filter, we can easily linearize it with respect to the
plane slope and set up a simple iterative scheme:
 |
(11) |
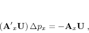
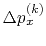
where
stands for the iteration count, and
is found
from the linearized equation
 |
(12) |
where
is the derivative of
with respect to
. To avoid unstable division by zero when solving equation
(12) for
, Adding a regularization equation
 |
(13) |
where
is a small scalar regularization parameter, I solve
system (12-13) in the least-square sense to
obtain a smooth slope variation
at each iteration. In
practice, iteration process (11) quickly converges to a
stable estimate of
.
 |
 |
 |
 | Plane wave prediction in 3-D |  |
![[pdf]](icons/pdf.png) |
Next: Examples
Up: Fomel: 3-D plane waves
Previous: Factorizing plane waves
2013-03-03