next up previous [pdf]

Next: Digression: Accuracy of Dip Up: Methodology Previous: Methodology

The Test Case

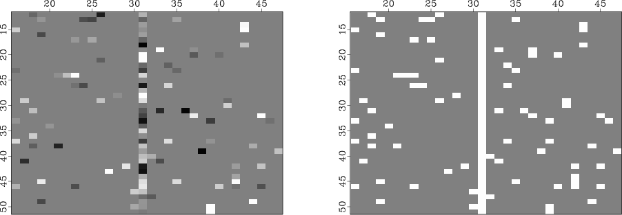
Claerbout (2000) proposes a test case for which the Gaussian curvature of the model vanishes. In this paper, we present an even simpler test case. Given a 2-D random field, we deconvolve with a known dip (or steering) (Clapp et al., 1997) filter to obtain a ``plane wave'' model, as shown in Figure 1. To simulate collected ``data'', we sampled the model of Figure 1 at about 60 points randomly, and about two-thirds of the way down one trace in the center. The results are shown in Figure 2.

model
Figure 1.
True model - plane waves dipping at $22.5^{\circ }$.
model
[pdf] [png] [scons]

data
data
Figure 2.
Left: Collected data - one known trace, about 60 randomly-selected known data points. Right: Known data selector.
[pdf] [png] [scons]


next up previous [pdf]

Next: Digression: Accuracy of Dip Up: Methodology Previous: Methodology

2016-03-17