next up previous [pdf]

Next: AMO APERTURE: CASCADING MIGRATION Up: Fomel & Biondi: t-x Previous: Introduction

CASCADING DMO AND INVERSE DMO IN TIME-SPACE DOMAIN

In this section, we present a new version of the AMO derivation. Since the entire derivation is performed in the time-space domain, it is more straightforward than the stationary phase technique developed for the same purpose by Biondi and Chemingui (1994).

Let $P_1\left({\bf x_1},t_1;{\bf h_1}\right)$ be the input of an AMO operator (common-azimuth and common-offset seismic reflection data after normal moveout correction) and $P_2\left({\bf x_2},t_2;{\bf h_2}\right)$ be the output. Here ${\bf x_i}\; (i=1,2)$ are midpoint locations on the surface: ${\bf x_i}=\left\{x_i,y_i\right\}$, and ${\bf h_i}$ are half-offset vectors. The 3-D AMO operator has the following general form:

\begin{displaymath}
P_2\left({\bf x_2},t_2;{\bf h_2}\right) = {\bf D}_{t_2} \int...
...t({\bf x_1;x_2, h_2}\right); 
{\bf h_1}\right) d{\bf x_1}\;,
\end{displaymath} (1)

where ${\bf D}$ is the differentiation operator $\left({\bf
D}_t\equiv{d \over dt}\right)$, $t_2 \theta_{12}$ is the summation path, and $w_{12}$ is the weighting function. In this section we will evaluate $\theta_{12}$ and $w_{12}$ using the cascade of integral 3-D DMO and inverse DMO operators in the time-space domain. The idea of this derivation originated in Biondi and Chemingui's paper (Biondi and Chemingui, 1994), where it was applied with the frequency-domain DMO and inverse DMO operators. In the next section, we apply a new geometric approach to evaluate the AMO aperture (range of integration in (1)).

To derive (1) in the time-space domain, an integral (Kirchoff-type) DMO operator of the form

\begin{displaymath}
P_0\left({\bf x_0},t_0;{\bf0}\right)={\bf D}_{-t_0}^{1/2} \...
...0}\left({\bf x_1;x_0,h_1}\right);
{\bf h_1}\right) d\hat{x}_1
\end{displaymath} (2)

is cascaded with an inverse DMO of the form
\begin{displaymath}
P_2\left({\bf x_2},t_2;{\bf h_2}\right)={\bf D}_{t_2}^{1/2}\...
...}\left({\bf x_0;x_2, h_2}\right);
{\bf0}\right) d\hat{x}_0\;,
\end{displaymath} (3)

where ${\bf D}_t^{1/2}$ stands for the operator of half-order differentiation (equivalent to $(i \omega)^{1/2}$ multiplication in Fourier domain), $t_0  \theta_{10}$ and $t_2 \theta_{02}$ are the summation paths of the DMO and inverse DMO operators (Deregowski and Rocca, 1981):
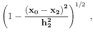
$\displaystyle \theta_{10}({\bf x_1;x_0, h_1})$ $\textstyle =$ $\displaystyle \left(1-{\bf\left(x_1-x_0\right)^2 \over h_1^2}\right)^{-1/2}\;,$ (4)
$\displaystyle \theta_{02}({\bf x_0;x_2, h_2})$ $\textstyle =$ $\displaystyle \left(1-{\bf\left(x_0-x_2\right)^2 \over h_2^2}\right)^{1/2}\;,$ (5)

$w_{10}$ and $w_{02}$ are the corresponding weighting functions (amplitudes of impulse responses), $\hat{x}_1$ is the component of ${\bf x_1}$ along the ${\bf h_1}$ azimuth, and $\hat{x}_0$ is the component of ${\bf x_0}$ along the ${\bf h_2}$ azimuth. Integral operators (2) and (3) correspond to the high-frequency asymptotic (the geometrical seismic) description of the wave field. As shown by Stovas and Fomel (1993), operator (3) has an asymptotically equivalent form
\begin{displaymath}
P_2\left({\bf x_2},t_2;{\bf h_2}\right)=\int
\tilde{w}_{02}...
...
\left({\bf x_0;x_2, h_2}\right);
{\bf0}\right) d\hat{x}_0\;,
\end{displaymath} (6)

where $\tilde{w}_{02}=w_{02} \sqrt{\theta_{02}}$.

Both DMO and inverse DMO operate on 3-D seismic data as 2-D operators, since their apertures are defined on a line. This implies that for a given input midpoint ${\bf x_1}$, the corresponding location of ${\bf x_0}$ must belong to the line going through ${\bf x_1}$, with the azimuth defined by the input offset ${\bf h_1}$. Similarly, ${\bf x_0}$ must be on the line going through ${\bf x_2}$ with the azimuth of ${\bf h_2}$ (Figure 1). These theoretical facts lead us to the following conclusion:

For a given pair of input and output midpoints ${\bf x_1}$ and ${\bf x_2}$ of the AMO operator, the corresponding midpoint ${\bf x_0}$ on the intermediate zero-offset gather is determined by the intersection of two lines drawn through ${\bf x_1}$ and ${\bf x_2}$ in the offset directions.
Applying the geometric connection among the three midpoints, we can find the cascade of the DMO and inverse DMO operators in one step. For this purpose, it is convenient to choose an orthogonal coordinate system $\{x,y\}$ on the surface in such a way that the direction of the $x$ axis corresponds to the input azimuth (Figure 1). In this case the connection between the three midpoints is given by
$\displaystyle y_0=y_1\;;\;x_0=x_2-\left(y_2-y_1\right) \cot{\varphi}\;,$     (7)
$\displaystyle d\hat{x}_1=dx_1\;;\;d\hat{x}_0=dy_1 \csc{\varphi}\;.$     (8)

amox12
amox12
Figure 1.
Geometric relationships between input and output midpoint locations in AMO.
[pdf] [png] [xfig]

Substituting (2) into (6) and taking into account (8) produces the 3-D integral AMO operator (1), where

$\displaystyle \theta_{12}\left({\bf x_1;x_2, h_2}\right)$ $\textstyle =$ $\displaystyle \theta_{02}\left({\bf x_0;x_2, h_2}\right) 
\theta_{10}\left({\b...
...sqrt{{\bf {h_2^2-\left(x_2-x_0\right)^2} \over
{h_1^2-\left(x_1-x_0\right)^2}}}$  
  $\textstyle =$ $\displaystyle {\left\vert{\bf h_1 \over h_2}\right\vert} 
\sqrt{{{\bf h_2^2} ...
..._2-x_1\right) \sin{\varphi}-
\left(y_2-y_1\right) \cos{\varphi}\right)^2}}\;,$ (9)


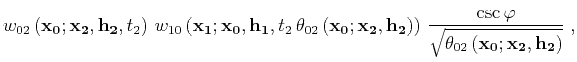
$\displaystyle w_{12}\left({\bf x_1;x_2, h_2},t_2\right) =$      
$\displaystyle w_{02}\left({\bf x_0;x_2, h_2},t_2\right) 
w_{10}\left({\bf x_1;...
...ht) 
{\csc{\varphi}\over \sqrt{\theta_{02}\left({\bf x_0;x_2, h_2}\right)}}\;,$     (10)

$d{\bf x_1}=dx_1 dy_1$. Equation $t_1=t_2 \theta_{12}\left({\bf x_1;x_2, h_2}\right)$ is the same as equation (4) in (Biondi and Chemingui, 1994) except for a different notation. The weighting function of the derived AMO operator $\left(w_{12}\right)$ depends on the weighting functions of DMO and inverse DMO that are involved in the construction. In Appendix A, we apply equation (10) to two popular versions of the DMO weighting functions that correspond to Hale's (Hale, 1984) and Zhang's (Zhang, 1988) DMO operators.

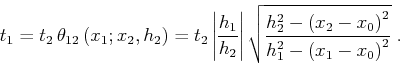
Deriving formula (9), we have to assume that the input and output offset azimuths are different ( $\varphi \neq 0$). In the case of equal azimuths, AMO reduces to 2-D offset continuation (OC). The location of ${\bf x_0}$ in this case is not constrained by the input and output midpoints and can take different values on the line. Therefore the superposition of DMO and inverse DMO for offset continuation is a convolution on that line. To find the summation path of the OC operator, we should consider the envelope of the family of traveltime curves (where $x_0$ is the parameter of a curve in the family):

\begin{displaymath}
t_1=t_2 \theta_{12}\left(x_1;x_2, h_2\right) =
t_2 {\left\...
...eft(x_2-x_0\right)^2} \over
{h_1^2-\left(x_1-x_0\right)^2}}\;.
\end{displaymath} (11)

Solving the envelope condition
\begin{displaymath}
{\partial \theta_{12} \over \partial x_0}=0
\end{displaymath} (12)

with respect to $x_0$ produces
\begin{displaymath}
x_0={{\left(\Delta x\right)^2+h_2^2-h_1^2+
\mbox{sign}\left...
...ght)^2-4 h_1^2 h_2^2}}
\over {2 \left(\Delta x\right)}}\;,
\end{displaymath} (13)

where $\Delta x=x_1-x_2$. Substituting (13) into (11), we get the explicit expression of the OC summation path:
$\displaystyle t_1$ $\textstyle =$    
    $\displaystyle {t_2 \over \left\vert h_2\right\vert} \sqrt{{U+V} \over 2}
\;\mbox{for $h_2 > h_1$}\;,$  
    $\displaystyle {t_2 \left\vert h_1\right\vert} \sqrt{2 \over {U+V}}
\;\mbox{for $h_2 < h_1$}\;,$ (14)

where $U=h_1^2+h_2^2-\left(\Delta x\right)^2$, and $V=\sqrt{U^2-4 h_1^2h_2^2}$. Equation (14) corresponds to formula (6) in (Biondi and Chemingui, 1994) (with a typo corrected). The same expression was obtained in a different way by Stovas and Fomel (1993). The apparent difference between the 2-D and 3-D solutions introduces the problem of finding a consistent description valid for both cases. Such a description is especially important for practical applications dealing with small angles of azimuth rotation, e.g. cable feather correction in marine seismics. The next section develops a way of solving this problem, which refers to the kinematic theory of AMO and follows the ideas that Deregowski and Rocca (1981) applied to DMO-type operators.


next up previous [pdf]

Next: AMO APERTURE: CASCADING MIGRATION Up: Fomel & Biondi: t-x Previous: Introduction

2014-12-03