 |
 |
 |
 | Velocity continuation and the anatomy of
residual prestack time migration |  |
![[pdf]](icons/pdf.png) |
Next: Kinematics of Residual NMO
Up: KINEMATICS OF VELOCITY CONTINUATION
Previous: KINEMATICS OF VELOCITY CONTINUATION
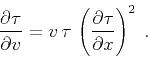
The kinematic equation for zero-offset velocity continuation is
 |
(2) |
The typical boundary-value problem associated with it is to find the
traveltime surface
for a constant velocity
, given the
traveltime surface
at some other velocity
. Both surfaces
correspond to the reflector images obtained by time migrations with the
specified velocities. When the migration velocity approaches zero, post-stack
time migration approaches the identity operator. Therefore, the case of
corresponds kinematically to the zero-offset (post-stack) migration, and
the case of
corresponds to the zero-offset modeling (demigration).
The variable
in equation (2) describes both the surface
midpoint coordinate and the subsurface image coordinate. One of them is
continuously transformed into the other in the velocity continuation process.
The appropriate mathematical method of solving the kinematic
problem posed above is the method of characteristics (Courant and Hilbert, 1989). The
characteristics of equation (2) are the trajectories
followed by individual points of the reflector image in the velocity
continuation process. These trajectories are called velocity rays
(Adler, 2002; Fomel, 1994; Liptow and Hubral, 1995). Velocity rays are defined by the system of ordinary
differential equations derived from (2) according to the
Hamilton-Jacobi theory:
where
and
are the phase-space parameters.
An additional constraint for
and
follows from equation (2), rewritten in the form
 |
(5) |
The general solution of the system of
equations (3-4) takes the
parametric form
where
,
, and
are constant along each individual velocity
ray. These three constants are determined from the boundary conditions
as
 |
(8) |
 |
(9) |
 |
(10) |
where
and
correspond to the zero velocity (unmigrated
section), while
and
correspond to the velocity
.
The
simple relationship between the midpoint derivative of the vertical
traveltime and the local dip angle
(appendix A),
 |
(11) |
shows that equations (8) and (9) are precisely equivalent
to the evident geometric relationships (Figure 1)
 |
(12) |
Equation (10) states that the points on a velocity ray correspond
to a single reflection point, constrained by the values of
,
, and
. As follows from equations (6), the
projection of a velocity ray to the time-midpoint plane has the
parabolic shape
, which has been
noticed by Chun and Jacewitz (1981). On the depth-midpoint plane, the
velocity rays have the circular shape
, described by Liptow and Hubral (1995) as ``Thales circles.''
vlczor
Figure 1. Zero-offset reflection in a
constant velocity medium (a scheme).
|
|
|
|---|
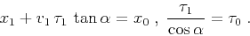
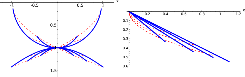
For an example of kinematic continuation by velocity rays, let us
consider the case of a point diffractor. If the diffractor location in
the subsurface is the point
, then the reflection traveltime at
zero offset is defined from Pythagoras's theorem as the hyperbolic
curve
 |
(13) |
where
is half of the actual velocity. Applying equations
(6) produces the following mathematical expressions
for the velocity rays:
where
.
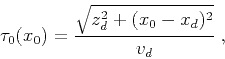
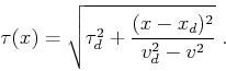
Eliminating
from the system of equations (14) and
(15) leads to the expression for the velocity continuation
``wavefront'':
 |
(16) |
For the case of a point diffractor, the wavefront corresponds precisely
to the summation path of the residual migration operator
(Rothman et al., 1985). It has a hyperbolic shape when
(undermigration) and an elliptic shape when
(overmigration). The wavefront collapses to a point when the velocity
approaches the actual effective velocity
. At zero
velocity,
, the wavefront takes the familiar form of the post-stack migration
hyperbolic summation path. The form of the velocity rays and wavefronts
is illustrated in the left plot of Figure 2.
|
|---|
vlcvrs
Figure 2. Kinematic
velocity continuation in the post-stack migration domain. Solid lines
denote wavefronts: reflector images for different migration
velocities; dashed lines denote velocity rays. a: the case of a
point diffractor. b: the case of a dipping plane reflector.
|
|---|
|
|---|
Another important example is the case of a dipping plane reflector. For
simplicity, let us put the origin of the midpoint coordinate
at the point
of the plane intersection with the surface of observations. In this case, the
depth of the plane reflector corresponding to the surface point
has the
simple expression
 |
(17) |
where
is the dip angle. The zero-offset reflection traveltime
is the plane with a changed angle. It can be expressed as
 |
(18) |
where
, and
is half of the actual
velocity. Applying formulas (6) leads to the following
parametric expression for the velocity rays:
Eliminating
from the system of equations (19) and
(20) shows that the velocity continuation wavefronts are
planes with a modified angle:
 |
(21) |
The right plot of Figure 2 shows the geometry of the
kinematic velocity continuation for the case of a plane reflector.
 |
 |
 |
 | Velocity continuation and the anatomy of
residual prestack time migration |  |
![[pdf]](icons/pdf.png) |
Next: Kinematics of Residual NMO
Up: KINEMATICS OF VELOCITY CONTINUATION
Previous: KINEMATICS OF VELOCITY CONTINUATION
2014-04-01