next up previous [pdf]

Next: Examples Up: Numerical velocity continuation in Previous: Numerical velocity continuation in

Velocity picking and slicing

After the velocity continuation process has created a time-midpoint-velocity cube, one can pick the best focusing velocity from that cube and create an optimally focused image by slicing through the cube. This step is common in other methods that involve velocity slicing (Fowler, 1984; Mikulich and Hale, 1992; Shurtleff, 1984). The algorithm described below has been also adopted by Sava (2000) for velocity analysis in wave-equation migration.

A simple automatic velocity picking algorithm follows from solving the following regularized least-squares system:

\begin{displaymath}
\left\{\begin{array}{rcl}
\mathbf{W} \mathbf{x} & \appr...
...bf{D} \mathbf{x} & \approx & \mathbf{0}
\end{array}\right.\;.
\end{displaymath} (15)

In the more standard notation, the solution $\mathbf{x}$ minimizes the least-squares objective function
\begin{displaymath}
(\mathbf{x}-\mathbf{p})^{T}  \mathbf{W}^2 (\mathbf{x}-\m...
...\epsilon^2 \mathbf{x}^T \mathbf{D}^T \mathbf{D} \mathbf{x}
\end{displaymath} (16)

Here $\mathbf{p}$ is the vector of blind maximum-semblance picks (possibly in a predefined fairway), $\mathbf{x}$ is the estimated velocity picks, $\mathbf{W}$ is the weighting operator with the weight corresponding to the semblance values at $\mathbf{p}$, $\epsilon $ is the scalar regularization parameter, $\mathbf{D}$ is a roughening operator, and $\mathbf{D}^T$ is the adjoint operator. The first least-squares fitting goal in (15) states that the estimated velocity picks should match the measured picks where the semblance is high enough[*]. The second fitting goal tries to find the smoothest velocity function possible. The least-squares solution of problem (15) takes the form
\begin{displaymath}
\mathbf{x} =
\left(\mathbf{W}^2 +
\epsilon^2 \mathbf{D}^T \mathbf{D}\right)^{-1} \mathbf{W}^2 \mathbf{p}\;.
\end{displaymath} (17)

In the case of picking a one-dimensional velocity function from a single semblance panel, one can simplify the algorithm by choosing $\mathbf{D}$ to be a convolution with the derivative filter $(1,-1)$. It is easy to see that in this case the inverted matrix in formula (17) has a tridiagonal structure and therefore can be easily inverted with a linear-time algorithm. The regularization parameter $\epsilon $ controls the amount of smoothing of the estimated velocity function. Figure 10 shows an example velocity spectrum and two automatic picks for different values of $\epsilon $.

velpick
velpick
Figure 10.
Semblance panel (left) and automatic velocity picks for different values of the regularization parameter. Higher values of $\epsilon $ lead to smoother velocities.
[pdf] [png] [scons]

In the case of picking two- or three-dimensional velocity functions, one could generalize problem (15) by defining $\mathbf{D}$ as a 2-D or 3-D roughening operator. I chose to use a more simplistic approach, which retains the one-dimensional structure of the algorithm. I transform system (15) to the form

\begin{displaymath}
\left\{\begin{array}{rcl}
\mathbf{W} \mathbf{x} & \appr...
...hbf{x} & \approx & \lambda \mathbf{x_0}
\end{array}\right.\;,
\end{displaymath} (18)

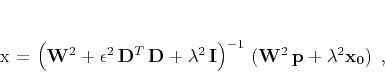
where $\mathbf{x}$ is still one-dimensional, and $\mathbf{x}_0$ is the estimate from the previous midpoint location. The scalar parameter $\lambda$ controls the amount of lateral continuity in the estimated velocity function. The least-squares solution to system (18) takes the form
\begin{displaymath}
\mathbf{x} =
\left(\mathbf{W}^2 + \epsilon^2 \mathbf{D...
...ft(\mathbf{W}^2 \mathbf{p} + \lambda^2 \mathbf{x_0}\right)\;,
\end{displaymath} (19)

where $\mathbf{I}$ denotes the identity matrix. Formula (19) also reduces to an efficient tridiagonal matrix inversion.

After the velocity has been picked, an optimally focused image is constructed by slicing in the time-midpoint-velocity cube. I used simple linear interpolation for slicing between the velocity grid values. A more accurate interpolation technique can be easily adopted.


next up previous [pdf]

Next: Examples Up: Numerical velocity continuation in Previous: Numerical velocity continuation in

2013-03-03