next up previous [pdf]

Next: Time-frequency transform Up: Methodology Previous: Methodology

The mean and instantaneous traveltime attributes

We first define the quantity $ \tau(\omega)$ for a signal $ u(t)$ as

$\displaystyle \tau(\omega) := \mathrm{Im}\left\{\frac{\frac{dU(\omega)}{d\omega}}{U(\omega)}\right\},$ (1)

where $ U$ is the Fourier transform of $ u(t)$ and $ \mathrm{Im}\{ \}$ denotes the imaginary part. The rationale behind this seemingly arbitrary definition is that for the ideal case in which $ u(t)$ is a delta function occurring at time $ t_0$ , i.e. $ u(t)=a\delta(t-t_0)$ , $ \tau(\omega)$ equals the time of occurrence of the delta function for all frequencies, namely $ \tau(\omega) = t_0$ .

If $ u(t)$ is a band-limited delta function, then $ \tau(\omega)$ does not equal $ t_0$ but rather is approximately equal to $ t_0$ , within the bandwidth of $ u(t)$ (see Figure 1(a)). Consequently, the dependence of $ \tau(\omega)$ on frequency can be dropped by simply averaging $ \tau(\omega)$ within the bandwidth of $ u(t)$ . In the case that $ u(t)$ is indeed a signal that signifies an event, such as the band-limited spike of Figure 1(a), averaging over the frequencies within the bandwidth of the signal yields a meaningful number, namely the time of occurrence of the event. On the other hand, if $ u(t)$ is random noise or even insufficiently spiky, then $ \tau(\omega)$ varies considerably with frequency (Figures 1(b), 1(c)). In this case, averaging of $ \tau(\omega)$ yields a meaningless number. This feature can be used to identify events in the seismic data.

rick noiz chrp
rick,noiz,chrp
Figure 1.
Various signals (left) and their mean traveltimes as a function of frequency (right). (a) Band-limited spike. (b) Random noise. (c) Quasi-sinusoid (simulates Vibroseis harmonics).
[pdf] [pdf] [pdf] [png] [png] [png] [scons]

The quantity $ \tau(\omega)$ is essentially the derivative of the phase of $ U(\omega)$ with respect to frequency, also referred to as group delay or envelope delay. In fact it has been used as such by Stoffa et al. (1974) to compute a continuous phase curve and circumvent the phase-wrapping problem in homomorphic deconvolution. However, we prefer to use the term traveltime for reasons that are explained below.

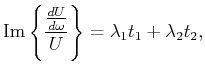
If we assume a signal consisting of two spikes at $ t_1$ and $ t_2$ , respectively, i.e., $ u(t)= a_1\delta(t-t_1)+a_2\delta(t-t_2)$ , we get

$\displaystyle \mathrm{Im}\left\{\frac{\frac{dU}{d\omega}}{U}\right\} = \lambda_1 t_1 + \lambda_2t_2,$ (2)

where $ \lambda_1, \lambda_2$ are coefficients that depend on $ \omega$ , $ a_1$ , $ a_2$ and $ t_2-t_1$ and $ \lambda_1+\lambda_2 = 1$ . In general, for a signal $ u(t)=\sum a_n\delta(t-t_n)$ , then

$\displaystyle \tau(\omega) := \mathrm{Im}\left\{\frac{\frac{dU}{d\omega}}{U}\right\} = \sum_n \lambda_n(\omega) t_n,$ (3)

where $ \sum\lambda_n(\omega)=1$ . In other words, $ \tau(\omega)$ is a weighted sum of the times of arrivals of the different signals. By dropping the dependence on the frequency, we get the mean traveltime of the arrivals of $ u(t)$ . We note that the calculation of the derivative $ \frac{dU}{d\omega}$ can be unstable for sharp variations with frequency. It is therefore preferable to compute this quantity as the Fourier transform of $ itu(t)$ . In addition, it is generally a good idea to employ some kind of smooth division (for instance, like the one described by Fomel (2007a)) when dividing $ \frac{dU}{d\omega}$ over $ U$ to avoid instability caused by small values of $ U(\omega)$ .

From the above discussion, it is clear that the mean traveltime attribute is not much of use, if it is to be computed on the whole trace. The Fourier transform used in equation 1 performs an integration over the observed time interval. The localized temporal information is therefore lost. What is needed is a time-frequency transform to replace the Fourier transform in equation 1 such that the traveltime attribute becomes localized in time as well. In this way, different arrivals are isolated from one another and the computed traveltimes are more accurate. The instantaneous traveltime $ \tau (t)$ is therefore defined as

$\displaystyle \tau(t) := \mathcal S_\omega \left[\mathrm{Im}\left\{\frac{\frac{\partial U(t,\omega)}{\partial \omega}}{U(t,\omega)}\right\}\right],$ (4)

where $ U(t,\omega)$ now denotes an appropriate time-frequency transform and $ \mathcal S_\omega$ is an appropriate operator or mapping from the frequency domain into a single number. In the above definition, we intentionally let the time-frequency transform as well as the mapping $ \mathcal S_\omega$ undefined as different transforms and/or operators may be more effective depending on the type of data under examination. We also note that only the forward transform is employed in equation 4 and not the inverse. This allows for more flexibility on the choice of the transform used to capture the nonstationary behavior of the seismic traces as the transform need not have an inverse.

In the next two subsections, we discuss these two issues, namely the choices of the time-frequency transform and the mapping operator.


next up previous [pdf]

Next: Time-frequency transform Up: Methodology Previous: Methodology

2013-04-02