next up previous [pdf]

Next: Regularization Up: Method Previous: Objective function

Determination of edge diffraction orientation

For AzPWD workflow Merzlikin et al. (2017b,2016) show that a volume with plane-wave destruction filter applied in arbitrary direction $ x'$ corresponding to the azimuth $ \theta$ can be generated as a linear combination of PWDs applied in inline ( $ \mathbf {D}_x$ ) and crossline ( $ \mathbf {D}_y$ ) directions: $ \mathbf{D}_{x'} = \mathbf{D}_{x} \mathrm{cos\theta} + \mathbf{D}_{y} \mathrm{sin\theta}$ . Due to migration procedure linearity the same relationship holds for the images of the corresponding PWD volumes. Azimuth $ \theta$ should be perpendicular to the edge at each location to remove reflections but preserve edge diffraction signatures, which are kinematically similar to reflections when observed along the edge.

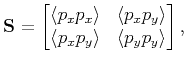
This azimuth can be determined from the structure tensor (Hale, 2009; Fehmers and Höcker, 2003; Wu, 2017; Van Vliet and Verbeek, 1995; Wu and Janson, 2017; Weickert, 1997), which is defined as an outer product of migrated plane-wave destruction filter volumes in inline and crossline directions (Merzlikin et al., 2017b,2016):

$\displaystyle \mathbf S= \begin{bmatrix}\langle p_x p_x \rangle & \langle p_x p_y \rangle  \langle p_x p_y \rangle & \langle p_y p_y \rangle \end{bmatrix} ,$ (2)

where $ \langle\rangle$ denotes smoothing of structure-tensor components, which is done in the edge-preserving fashion (Liu et al., 2010). Smoothing stabilizes structure-tensor orientation determination in the presence of noise (Fehmers and Höcker, 2003; Weickert, 1997), while edge-preservation keeps information related to geologic discontinuities, which otherwise would be lost due to smearing. Here, $ p_x$ and $ p_y$ are the samples of inline and crossline migrated PWD volumes ( $ \mathbf {P}_x$ and $ \mathbf {P}_y$ ) at each location. PWD filter can be treated as a derivative along the dominant local slope (Fomel, 2002; Fomel et al., 2007). Thus, a 2D PWD-based structure tensor (equation 2) effectively represents 3D structures without the need for the third dimension because the orientations are determined along the horizons.

Edge orientation can be determined by an eigendecomposition of a structure tensor (Hale, 2009; Fehmers and Höcker, 2003): $ \mathbf{S} = \lambda_{u} \mathbf{u}\mathbf{u}^T + \lambda_{v} \mathbf{v}\mathbf{v}^T$ . If a linear feature (edge) is encountered eigenvector $ \mathbf{u}$ corresponding to a larger eigenvalue $ \lambda_{u}$ points in the direction perpendicular to the edge. Eigenvector $ \mathbf{v}$ of a smaller eigenvalue $ \lambda_{v}$ points along the edge. Thus, azimuth $ \theta$ of a direction $ x'$ perpendicular to the edge can be computed from either $ \mathbf{u}$ or $ \mathbf{v}$ . If no linear features are observed, there is no preferred PWD direction.

The PWD-based tensor (equation 2) describes 3D structures. Its components ($ p_x$ and $ p_y$ ) are computed along the ``structural frame" defined by the reflecting horizons. Thus, vectors $ \mathbf{u}$ and $ \mathbf{v}$ ``span" the surfaces, which at each point are determined by dominant local slopes. Eigenvectors of a PWD-based structure tensor (equation 2) are parallel to a reflection surface at each point.


next up previous [pdf]

Next: Regularization Up: Method Previous: Objective function

2021-02-24