 |
 |
 |
 | Seismic data interpolation beyond aliasing using regularized nonstationary autoregression |  |
![[pdf]](icons/pdf.png) |
Next: Missing data interpolation
Up: Step 1: Adaptive PEF
Previous: Step 1: Adaptive PEF
An important property of PEFs is scale invariance, which allows
estimation of PEF coefficients
(including the leading ``
''
and prediction coefficients
) for incomplete aliased data
that include known traces
and unknown or zero traces
. For trace decimation, zero
traces interlace known traces. To avoid zeroes that influence filter
estimation, we interlace the filter coefficients with zeroes. For
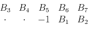
example, consider a 2-D PEF with seven prediction coefficients:
 |
(1) |
Here, the horizontal axis is time, the vertical axis is space, and
``
'' denotes zero. Rescaling both time and spatial axes assumes
that the dips represented by the original filter in
equation 1 are the same as those represented by the
scaled filter
(Claerbout, 1992):
 |
(2) |
For nonstationary situations, we can also assume locally stationary
spectra of the data because trace decimation makes the space between
known traces small enough, thus making adaptive PEFs locally
scale-invariant. For estimating adaptive PEF coefficients,
nonstationary autoregression allows coefficients
to change with
both
and
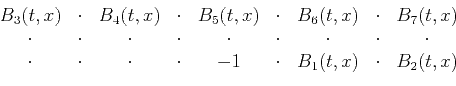
. The new adaptive filter can look something like
 |
(3) |
In other words, prediction coefficients
are
obtained by solving the least-squares problem,
where
=
, which
represents the causal translation of
, with time-shift index
and spatial-shift index
scaled by decimation interval
. Note that predefined constant
uses the interlacing value as
an interval; i.e., the shift interval equals 2 in
equation 3. Subscript
is the general shift index
for both time and space, and the total number of
and
is
.
is the regularization operator, and
is a
scalar regularization parameter. All coefficients
are
estimated simultaneously in a time/space variant manner. This approach
was described by Fomel (2009) as regularized nonstationary
autoregression (RNA). If
is a linear operator,
least-squares estimation reduces to linear inversion
 |
(5) |
where
![$\displaystyle \mathbf{b} = \left[\begin{array}{cccc}B_1(t,x) & B_2(t,x) & \cdots & B_N(t,x)\end{array}\right]^T\;,$](img36.png) |
(6) |
![$\displaystyle \mathbf{d} = \left[\begin{array}{cccc}S_1(t,x)\,S(t,x) & S_2(t,x)\,S(t,x) & \cdots & S_N(t,x)\,S(t,x)\end{array}\right]^T\;,$](img37.png) |
(7) |
and the elements of matrix
are
 |
(8) |
Shaping regularization (Fomel, 2007) incorporates a shaping
(smoothing) operator
instead of
and
provides better numerical properties than Tikhonov's
regularization (Tikhonov, 1963) in
equation 4 (Fomel, 2009).
Inversion using shaping regularization takes the form
 |
(9) |
where
![$\displaystyle \widehat{\mathbf{d}} = \left[\begin{array}{cccc}\mathbf{G}\left[S...
...ight] & \cdots & \mathbf{G}\left[S_N(t,x)\,S(t,x)\right]\end{array}\right]^T\;,$](img42.png) |
(10) |
the elements of matrix
are
and
is a scaling coefficient. One advantage of the shaping
approach is the relative ease of controlling the selection of
and
in comparison with
and
. We define
as Gaussian smoothing with an
adjustable radius, which is designed by repeated application of
triangle smoothing (Fomel, 2007), and choose
to be the
mean value of
.
Coefficients
at zero traces
get constrained
(effectively smoothly interpolated) by regularization. The required
parameters are the size and shape of the filter
and the
smoothing radius in
.
 |
 |
 |
 | Seismic data interpolation beyond aliasing using regularized nonstationary autoregression |  |
![[pdf]](icons/pdf.png) |
Next: Missing data interpolation
Up: Step 1: Adaptive PEF
Previous: Step 1: Adaptive PEF
2013-07-26