 |
 |
 |
 | Fractal heterogeneities in sonic logs
and low-frequency scattering attenuation |  |
![[pdf]](icons/pdf.png) |
Next: Discussion
Up: Attenuation in 3D fractal
Previous: Penetration depth
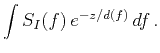
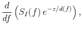
If seismic pulse is defined as a Ricker wavelet, a relation can be derived for
modification of the frequency content of P and S acoustic waves by scattering attenuation.
Dominant frequency
with depth
and initial spectrum
of the source are defined by
with initial condition
, and where
is the penetration depth
defined in equation 34.
Dispersion involves different traveltimes
at different frequencies but does not modify the frequency content or amplitude.
For convenience, we estimate dominant frequency as frequency expectation:
Figure 8
shows the evolution of the dominant frequency with depth
in fractal media, with
m/s,
m/s, and standard deviation
.
The value of correlation length
again has a very high impact,
whereas the fractal exponent moderately influences results.
For a multicomponent seismic survey in a clastic reservoir,
evolution of the peak frequency should show a more
important decrease with depth for PS data than for PP data.
|
|---|
fdomfb25025,fdomfb05M025,fdomfb05025,fdomfb0505,fdomfb10025,fdomfb05075
Figure 8. Evolution of the dominant frequency with depth for P (solid line) and S (dashed line) scalar waves modeled by a Ricker wavelet ( Hz)
in heterogeneous media with . For a constant exponent ,
the dominant frequency shifts to lower frequencies faster for larger values of (a,c,e).
The exponent weakly influences the evolution of the dominant frequency (b,d,f).
|
|---|
|
|---|
 |
 |
 |
 | Fractal heterogeneities in sonic logs
and low-frequency scattering attenuation |  |
![[pdf]](icons/pdf.png) |
Next: Discussion
Up: Attenuation in 3D fractal
Previous: Penetration depth
2013-07-26