next up previous [pdf]

Next: Definition of local frequency Up: Measuring local frequencies Previous: Measuring local frequencies

Definition of instantaneous frequency

Let $f(t)$ represent seismic trace as a function of time $t$. The corresponding complex trace $c(t)$ is defined as

\begin{displaymath}
c(t) = f(t) + i\,h(t)\;,
\end{displaymath} (1)

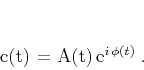
where $h(t)$ is the Hilbert transform of the real trace $f(t)$. One can also represent the complex trace in terms of the envelope $A(t)$ and the instantaneous phase $\phi(t)$, as follows:
\begin{displaymath}
c(t) = A(t)\,e^{i\,\phi(t)}\;.
\end{displaymath} (2)

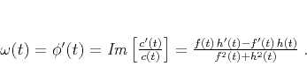
By definition, instantaneous frequency is the time derivative of the instantaneous phase (Taner et al., 1979)
\begin{displaymath}
\omega(t) = \phi'(t) = \mathit{Im}\left[\frac{c'(t)}{c(t)}\right]
= \frac{f(t)\,h'(t) - f'(t)\,h(t)}{f^2(t) + h^2(t)}\;.
\end{displaymath} (3)

Different numerical realizations of equation 3 produce slightly different algorithms (Barnes, 1992).

Note that the definition of instantaneous frequency calls for division of two signals. In a linear algebra notation,

\begin{displaymath}
\mathbf{w} = \mathbf{D}^{-1}\,\mathbf{n}\;,
\end{displaymath} (4)

where $\mathbf{w}$ represents the vector of instantaneous frequencies $\omega(t)$, $\mathbf{n}$ represents the numerator in equation 3, and $\mathbf{D}$ is a diagonal operator made from the denominator of equation 3. A recipe for avoiding division by zero is adding a small constant $\epsilon$ to the denominator (Matheney and Nowack, 1995). Consequently, equation 4 transforms to
\begin{displaymath}
\mathbf{w}_{inst} = \left(\mathbf{D}+\epsilon\,\mathbf{I}\right)^{-1}\,\mathbf{n}\;,
\end{displaymath} (5)

where $\mathbf{I}$ stands for the identity operator. Stabilization by $\epsilon$ does not, however, prevent instantaneous frequency from being a noisy and unstable attribute. The main reason for that is the extreme locality of the instantaneous frequency measurement, governed only by the phase shift between the signal and its Hilbert transform.

Figure [*] shows three test signals for comparing frequency attributes. The first signal is a synthetic chirp function with linearly varying frequency. Instantaneous frequency shown in Figure 1 correctly estimates the modeled frequency trend. The second signal is a piece of a synthetic seismic trace obtained by convolving a 40-Hz Ricker wavelet with synthetic reflectivity. The instantaneous frequency (Figure 1b) shows many variations and appears to contain detailed information. However, this information is useless for characterizing the dominant frequency content of the data, which remains unchanged due to stationarity of the seismic wavelet. The last test example (Figure [*]c) is a real trace extracted from a seismic image. The instantaneous frequency (Figure 1c) appears noisy and even contains physically unreasonable negative values. Similar behavior was described by White (1991).

inst
inst
Figure 1.
Instantaneous frequency of test signals from Figure [*].
[pdf] [png] [scons]

locl
locl
Figure 2.
Local frequency of test signals from Figure [*].
[pdf] [png] [scons]


next up previous [pdf]

Next: Definition of local frequency Up: Measuring local frequencies Previous: Measuring local frequencies

2013-07-26