 |
 |
 |
 | Velocity analysis using
semblance |  |
![[pdf]](icons/pdf.png) |
Next: Appendix B: Automatic velocity
Up: Fomel: Velocity analysis using
Previous: Acknowledgments
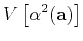
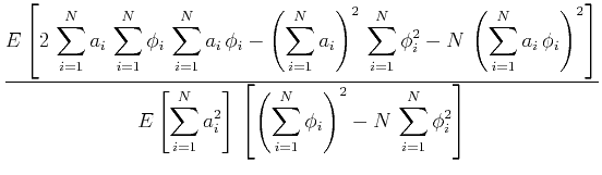
In this appendix, I study the influence of noise on semblance
measures. Let us assume that the signal
is composed of random independent
samples normally distributed with zero mean and
variance. In this case, the mathematical expectation for the semblance
measure (3) is
![$\displaystyle E\left[\beta^2(\mathbf{a})\right] = \frac{\displaystyle E\left[\l...
...\right]} {\displaystyle N\,\sum_{i=1}^{N} E\left[a_i^2\right]} = \frac{1}{N}\;.$](img35.png) |
(9) |
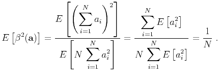
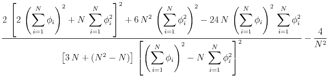
Correspondingly, the variance of the noise semblance is
Equations (A-1) and (A-2) show that both the
mathematical expectation and the standard deviation (the square root
of variance) of the random noise semblance decrease at the rate of
with the increase in the number of traces. To derive these
equations, I make an assumption that the terms in the numerator and
denominator are statistically independent. Rather than proving this
assumption mathematically, I test it by numerical experiments with
multiple random number realizations. Figure A-1
compares the theoretical prediction with experimental measurements
from 10,000 random realizations.
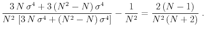
Applying similar analysis to the
semblance (7), we deduce that
and
One can see that, in the case of the
semblance, the
mathematical expectation and the standard deviation of the random
noise semblance decrease at the rate of
, twice higher than that
for the conventional semblance. Figure A-2 compares
the theoretical prediction with experimental measurements.
|
|---|
mean,vari
Figure 10. Mathematical expectation (a)
and standard deviation (b) of random-noise semblance as functions of
the number of traces
. Solid lines are theoretical curves, circles
are measurements from a numerical experiment.
|
|---|
|
|---|
|
|---|
amean,avari
Figure 11. Mathematical expectation (a) and standard deviation (b) of
random-noise
semblance as a function of the number of
traces
. Solid lines are theoretical curves, circles are
measurements from a numerical experiment.
|
|---|
|
|---|
 |
 |
 |
 | Velocity analysis using
semblance |  |
![[pdf]](icons/pdf.png) |
Next: Appendix B: Automatic velocity
Up: Fomel: Velocity analysis using
Previous: Acknowledgments
2013-07-26