next up previous [pdf]

Next: Comparison of sparsity-promoting transforms Up: Chen et al.: Deblending Previous: Backward operator

Shaping operator

The shaping operator $ \mathbf{S}$ in equation 5 can be chosen as a coherency-promoting operator, which serves as a flexible constraint on the estimated model. Any coherency-promoting tool such as $ f-x$ predictive filtering (Sacchi and Kuehl, 2000; Chen and Ma, 2014; Canales, 1984; Galbraith and Yao, 2012) or median filter (Liu, 2013; Liu et al., 2009b; Huo et al., 2012) can be utilized to preserve the coherent useful subsurface reflection and at the same time to remove incoherent blending noise.

Another approach to promote coherency is to promote sparseness in an appropriate transform domain. To enforce sparsity, a transform domain thresholding operation can also be chosen as the shaping operator as long as the data in the transformed domain is sparse (Candès and Plan, 2010; Mallat, 2009). Instead of a thresholding operator, we can also use a mask operator to compress the transformed domain (Liu and Fomel, 2012; Naghizadeh and Sacchi, 2010). A sparsity-promoting shaping operator can be defined as:

$\displaystyle \mathbf{S}_i =\mathbf{A}\mathbf{\mathcal{T}}_{\mathbf{\gamma}_i}[\mathbf{A}^{-1}],$ (15)

where $ i$ denotes the $ i$ th source, $ \mathbf{A}^{-1}$ and $ \mathbf{A}$ are forward and inverse sparsity-promoting transforms and $ \mathbf{\mathcal{T}}_{\gamma_i}$ corresponds to a mask operator or thresholding operator with an input parameter $ \gamma_i$ in the transformed domain.

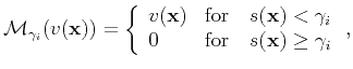
Mask operator can be chosen to preserve small-scale components and remove large-scale components. It takes the following form:

$\displaystyle \mathbf{\mathcal{M}}_{\gamma_i}(v(\mathbf{x})) = \left\{ \begin{a...
... \gamma_i  0 & \text{for}\quad s(\mathbf{x}) \ge \gamma_i \end{array}\right.,$ (16)

where $ \mathbf{x}$ is a position vector in the transformed domain, $ v(\mathbf{x})$ denotes the amplitude value of point $ \mathbf{x}$ , $ s(\mathbf{x})$ denotes the scale of point $ \mathbf{x}$ and $ \mathbf{\mathcal{M}}_{\gamma_i}$ corresponds to the mask operator with a scale limitation $ \gamma_i$ . When the sparsity-promoting transform is the Fourier transform, the scale defined in the mask operator shown in equation 16 corresponds to the frequency and wavenumber band.

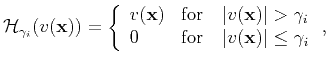
Thresholding operators can be divided into two types: soft and hard. Soft thresholding or shrinkage aims to remove data whose value is smaller than a certain level and subtract the other data values by this level (Donoho, 1995). Hard thresholding simply removes data with small values. A soft thresholding operator takes the following form:

$\displaystyle \mathbf{\mathcal{S}}_{\gamma_i}(v(\mathbf{x})) = \left\{ \begin{a...
... 0 & \text{for}\quad \vert v(\mathbf{x})\vert \le \gamma_i \end{array}\right.,$ (17)

where $ \mathbf{\mathcal{S}}_{\gamma_i}$ corresponds to the soft thresholding operator with a threshold value $ \gamma_i$ .

Similarly, a hard thresholding operator takes the form:

$\displaystyle \mathbf{\mathcal{H}}_{\gamma_i}(v(\mathbf{x})) = \left\{ \begin{a...
... 0 & \text{for}\quad \vert v(\mathbf{x})\vert \le \gamma_i \end{array}\right.,$ (18)

where $ \mathbf{\mathcal{H}}_{\gamma_i}$ corresponds to the hard thresholding operator with a threshold value $ \gamma_i$ .

The mask operator can be more efficient because it is linear and requires only the scale coefficient below which data values are preserved. The thresholding operator needs to compare the amplitude value of each transformed domain point with a predefined coefficient. However, the mask operator is more difficult to design when the signal and noise coefficients are both spread across the transformed domain. Therefore, in the case of deblending, we prefer to use the thresholding operator rather than the mask operator. The selection criteria of $ \gamma_i$ in the above definitions of thresholding operators (both soft and hard) leads to different kinds of thresholding strategies, which may result in different thresholding performances (convergence rate and quality) (Yang et al., 2013). Some of the common iterative thresholding strategies are constant-value thresholding, linear-decreasing thresholding, exponential-decreasing thresholding, etc. (Gao et al., 2010). In our paper, we use percentile thresholding (Wang et al., 2008; Yang et al., 2012), which is convenient to implement and helps accelerate the convergence (Yang et al., 2012).



Subsections
next up previous [pdf]

Next: Comparison of sparsity-promoting transforms Up: Chen et al.: Deblending Previous: Backward operator

2014-08-20