next up previous [pdf]

Next: Homogeneous triclinic model Up: Examples Previous: Examples

Homogeneous orthorhombic model

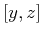
To test the proposed method, we first use the standard model in equation 19 (Schoenberg and Helbig, 1997) and assume that the planes of symmetry coincide with the coordinate planes. A point displacement source with equal magnitude in all components is used. The full elastic wavefield is generated using a low-rank one-step elastic wave propagator (Sun et al., 2016a,b) from the source, which is located in the middle of the model. The wave snapshot is shown in Figure 7 at time $ 0.15~s$ . We decompose the wavefield according to the steps described in the previous section. Figure 8 shows P wave mode separated from the original wavefield, which appears clean with no visible artifacts. For conciseness, we show only the y-component of the separated S1 and S2 wavefields in Figures 9 and 10. Note that setting the smoothing parameter $ \tau=0$ is equivalent to not applying any weighting to the $ A^{\alpha}_{ij}$ (equation 27). We observe reduced planar artifacts in comparison of results from before and after the implementation of the proposed smoothing method (Figures 9b and 10b). We subsequently supply the results from this step to the amplitude compensation process (equation 28). The y-component of the separated wavefields with and without corrected amplitudes is shown in comparison in Figures 9c and 10c that use the same clipping. We observe clean separated wavefields with no apparent artifacts and corrected amplitudes close to those in the original wavefields in Figures 9a and 10a.

ORTw-lr-x ORTw-lr-y ORTw-lr-z
ORTw-lr-x,ORTw-lr-y,ORTw-lr-z
Figure 7.
Original elastic wavefield in $ {[x,z]}$ , $ {[y,z]}$ , and $ {[x,y]}$ planes generated from the stiffness tensor coefficients of the orthorhombic model (equation 19) a) x-component b) y-component c) z-component.
[pdf] [pdf] [pdf] [png] [png] [png] [scons]

noORTw-dlr-P-x noORTw-dlr-P-y noORTw-dlr-P-z
noORTw-dlr-P-x,noORTw-dlr-P-y,noORTw-dlr-P-z
Figure 8.
Components of a P elastic wavefield from a point displacement source in the orthorhombic model (equation 19) a) x-component b) y-component c) z-component.
[pdf] [pdf] [pdf] [png] [png] [png] [scons]

noORTw-dlr-S1-y ORTw-dlr-S1-y comORTw-dlr-S1-y
noORTw-dlr-S1-y,ORTw-dlr-S1-y,comORTw-dlr-S1-y
Figure 9.
Separated y-component of S1 elastic wavefield in the orthorhombic model (equation 19) with $ \tau $ equal to a) 0 (no smoothing) b) 0.2. The final seprated wavefield with amplitude compensation (equation 28) is shown in c). Notice planar artifacts disappearing when the proposed smoothing filter is applied as shown in b) and with the restored amplitude as shown in c). The clipping has been adjusted to enhance visualization and stay constant in all three plots.
[pdf] [pdf] [pdf] [png] [png] [png] [scons]

noORTw-dlr-S2-y ORTw-dlr-S2-y comORTw-dlr-S2-y
noORTw-dlr-S2-y,ORTw-dlr-S2-y,comORTw-dlr-S2-y
Figure 10.
Separated y-component of S2 elastic wavefield in the orthorhombic model (equation 19) with $ \tau $ equal to a) 0 (no smoothing) b) 0.2. The final seprated wavefield with amplitude compensation (equation 28) is shown in c). Notice planar artifacts disappearing when the proposed smoothing filter is applied as shown in b) and with the restored amplitude as shown in c). The clipping has been adjusted to enhance visualization and stay constant in all three plots.
[pdf] [pdf] [pdf] [png] [png] [png] [scons]


next up previous [pdf]

Next: Homogeneous triclinic model Up: Examples Previous: Examples

2017-04-18