next up previous [pdf]

Next: Bibliography Up: Sripanich et al.: Wave-vector Previous: Acknowledgments

Appendix: Review of Christoffel equation

The wave-mode separation and wave-vector decomposition methods discussed in the previous sections are based on polarization vectors of wave modes in anisotropic media. Polarization vectors can be found from the Christoffel equation given by

$\displaystyle \left[\mathbf{G}-\rho v^2 \mathbf{I} \right]\mathbf{a} = 0~,$ (30)

where $ \mathbf{G}$ denotes the Christoffel matrix $ G_{ij} = c_{ijkl}n_{j}n_{l}$ , in which $ c_{ijkl}$ is the stiffness tensor, and $ n_j$ and $ n_l$ are the normalized wave-vector components in the $ j$ and $ l$ directions: $ \mathbf{n} = \mathbf{\bar{k}} = \mathbf{k}/\vert\mathbf{k}\vert$ . $ v$ denotes the phase velocity of a given wave mode for the given phase direction ( $ \mathbf {n}$ ), and $ \mathbf{a}$ denotes the corresponding polarization vector (Cervený, 2001).

In the non-degenerate case, the Christoffel matrix $ \mathbf{G}$ has three distinct eigenvalues and three corresponding eigenvectors. The eigenvectors represent the polarization vectors of the three wave modes (P and two S) with the corresponding eigenvalues indicating the squared phase velocities $ v^2$ of the waves. In the degenerate case, any two or all three eigenvalues become equal and the corresponding phase direction is referred to as the singular direction (Vavrycuk, 2001). Note that if two eigenvalues for S waves coincide for all phase directions, the problem reduces to isotropy, which is a special case of Christoffel degeneracy.

Wave propagation in low-symmetry anisotropic media involves at most twenty-one independent stiffness tensor coefficients in the case of triclinic media. The elements of general Christoffel matrix $ \mathbf{G}$ can be defined as follows:

$\displaystyle G_{11}$ $\displaystyle =$ $\displaystyle c_{11}n_1^2 + c_{66}n_2^2 + c_{55}n_3^2 + 2c_{16}n_1n_2 + 2c_{15}n_1n_3 + 2c_{56}n_2n_3~,$ (31)
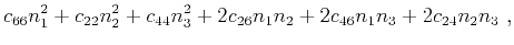
$\displaystyle G_{22}$ $\displaystyle =$ $\displaystyle c_{66}n_1^2 + c_{22}n_2^2 + c_{44}n_3^2 + 2c_{26}n_1n_2 + 2c_{46}n_1n_3 + 2c_{24}n_2n_3~,$  
$\displaystyle G_{33}$ $\displaystyle =$ $\displaystyle c_{55}n_1^2 + c_{44}n_2^2 + c_{33}n_3^2 + 2c_{45}n_1n_2 + 2c_{35}n_1n_3 + 2c_{34}n_2n_3~,$  
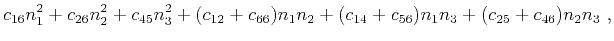
$\displaystyle G_{12}$ $\displaystyle =$ $\displaystyle c_{16}n_1^2 + c_{26}n_2^2 + c_{45}n_3^2 + (c_{12}+c_{66})n_1n_2 + (c_{14}+c_{56})n_1n_3 + (c_{25}+c_{46})n_2n_3~,$  
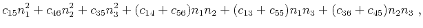
$\displaystyle G_{13}$ $\displaystyle =$ $\displaystyle c_{15}n_1^2 + c_{46}n_2^2 + c_{35}n_3^2 + (c_{14}+c_{56})n_1n_2 + (c_{13}+c_{55})n_1n_3 + (c_{36}+c_{45})n_2n_3~,$  
$\displaystyle G_{23}$ $\displaystyle =$ $\displaystyle c_{56}n_1^2 + c_{24}n_2^2 + c_{34}n_3^2 + (c_{25}+c_{46})n_1n_2 + (c_{36}+c_{45})n_1n_3 + (c_{23}+c_{44})n_2n_3~.$  

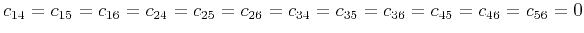
Equation A-2 reduces to the case of orthorhombic media when $ c_{14}=c_{15}=c_{16}=c_{24}=c_{25}=c_{26}=c_{34}=c_{35}=c_{36}=c_{45}=c_{46}=c_{56}=0$ , and further to the case of TI media when, additionally, $ c_{11}=c_{22}$ , $ c_{13}=c_{23}$ , and .


next up previous [pdf]

Next: Bibliography Up: Sripanich et al.: Wave-vector Previous: Acknowledgments

2017-04-18