Because equation 7 is a singular value decomposition (SVD) of the signal matrix
, the left matrix in equation 7 is a unitary matrix:
![$\displaystyle \mathbf{I}=\mathbf{U}^S(\mathbf{U}^S)^H=[\mathbf{U}_1^S\quad \mat...
...[\begin{array}{c}
(\mathbf{U}_1^S)^H \\
(\mathbf{U}_2^S)^H
\end{array}\right].$](img118.png) |
(21) |
Combining equations 4, 8, and 21, we can derive:
![\begin{displaymath}\begin{split}
\mathbf{M}&=\mathbf{S}+\mathbf{N} \\
&=\mathbf...
...}(\mathbf{N}^H\mathbf{U}_2^S)^H
\end{array}\right],
\end{split}\end{displaymath}](img119.png) |
(22) |
where
and
are introduced matrices and are diagonal and positive definite.
In order to make the right matrix orthonormal, we make two assumptions:
- The noise is close to white noise in the sense that
.
- The signal is orthogonal to the noise in the sense that
.
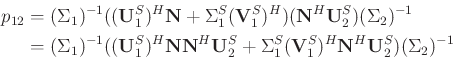
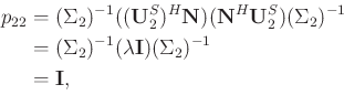
We let
denote the right matrix of the last equation in 22, then
![\begin{displaymath}\begin{split}
&\mathbf{P}^H\mathbf{P} \\
&=\left[\begin{arra...
...{11} & p_{12}\\
p_{21} & p_{22}
\end{array}\right]
\end{split}\end{displaymath}](img123.png) |
(23) |
where
 |
(24) |
when
.
 |
(25) |
Since
is an orthogonal matrix, then
. Since
, then
, thus
. In the same way, since
, thus
.
Then,
 |
(26) |
 |
(27) |
 |
(28) |
when
.
Thus, we prove that
when
and
are appropriately chosen, and
is orthonormal.
2020-02-21