The transformation of the 4D data hypercube at a single frequency into a level-four block Hankel matrix can be represented in operator notation as follows:
 |
(5) |
where
denotes the Hankelization operator. To avoid notational clutter, we omit the argument
of
for convenience. In general, the level-four block Hankel matrix
can be represented as:
 |
(6) |
where
and
denote the level-four block Hankel matrices of signal and random noise, respectively. Here, missing signal can be regarded as a condition where signal and noise are summed to zero, and is distributed randomly due to the irregular sampling. Therefore, missing data represents itself by the noise-like characteristics.
We assume that
and
have full rank. The size of
is
.
=
,
,
, and
has deficient rank,
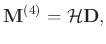
. The singular value decomposition (SVD) of
can be represented as:
![$\displaystyle \mathbf{M}^{(4)} = [\mathbf{U}_1^{M^{(4)}}\quad \mathbf{U}_2^{M^{...
...c}
(\mathbf{V}_1^{M^{(4)}})^H\\
(\mathbf{V}_2^{M^{(4)}})^H
\end{array}\right],$](img54.png) |
(7) |
where
(
) and
(
) are diagonal matrices and contain, respectively, larger singular values and smaller singular values.
(
),
(
),
(
) and
(
) denote the associated matrices with singular vectors. The symbol
denotes the conjugate transpose of a matrix. Generally, the signal is more energy-concentrated and correlative than the random noise. Thus, the larger singular values and their associated singular vectors represent the signal, while the smaller values and their associated singular vectors represent the random noise. We substitute
with
to achieve the goal of attenuating random noise while recovering the missing data during the first iteration in reconstruction process as follows:
 |
(8) |
Equation 8 is referred to as the TSVD, which is used in the conventional rank-reduction approach for 5D seismic data interpolation.
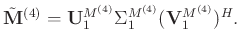
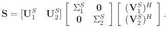
Nevertheless,
is actually still contaminated with residual random noise. Following Huang et al. (2016), here we briefly clarify the reason why the
is still corrupted with some residual random noise. We first consider the SVD of the signal component
in a way similar to equation 7:
![$\displaystyle \mathbf{S} = [\mathbf{U}_1^{S}\quad \mathbf{U}_2^{S}]\left[\begin...
...egin{array}{c}
(\mathbf{V}_1^{S})^H\\
(\mathbf{V}_2^{S})^H
\end{array}\right].$](img71.png) |
(9) |
Different from
, the signal matrix should be of deficient rank, then
is a zero diagonal matrix, and
can be denoted in a concise form:
 |
(10) |
Combining equations 6, 9, and 10, it straightforwardly derive the following equation:
 |
(11) |
The appendix A gives a detailed derivation for obtaining equation 11, which we call exact formulation of the block Hankel matrix. From equation 11, we can intuitively know that TSVD result
still contains significant random noise
, or in other words, the traditional TSVD can only decompose the data space into a mixture of signal and noise subspace.
2020-12-05