 |
 |
 |
 | Quantifying and correcting residual azimuthal anisotropic moveout in image gathers using dynamic time warping |  |
![[pdf]](icons/pdf.png) |
Next: Bibliography
Up: Decker and Zhang: DTW
Previous: Conclusions
Global Geophysical data presented with permission of Geophysical Pursuit, Inc. (exclusive agent). We are grateful to Repsol, Equinor, and Geophysical Pursuit, Inc. for the field data used in this paper, to Sergey Fomel, Randall Hendrix, Francisco Ortigosa, Fred Shirley, and Qingbo Liao for inspiring conversations, to Tom Leland and Thomas Dhanaraj for invaluable assistance, and to our editors and reviewers for helpful suggestions. We also thank TCCS sponsors for partial financial support of this work and contributors to the Madagascar open source software library (Fomel et al., 2013).
Appendix
A
append
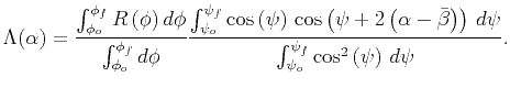
[derivation]Determining principal axis and Anisotropic Intensity
Suppose we have a collection of gather shifts modeled by equation 1,
 |
(4) |
defined for
,
,
, where
describes the azimuth and
the inclination within a gather. We also require that
. This model implies that the shift dependance on azimuth and offset may be separated, and that changes in inclination will not result in shifts reversing polarity. Suppose we want to determine the value of some fixed
, a phase shift aligned with the orientation of the principal axis.
We may introduce a family of test functions according to equation 2,
 |
(5) |
featuring a phase shift parameter
. These test functions are defined over the domain of the function
. We wish to prove equation 3, so we may write our hypothesis as:
 |
(6) |
We begin by substituting equations A-1 and A-2 into equation A-3:
 |
(7) |
If we let
,
,
, and through the linearity of integration we have:
 |
(8) |
Allowing
,
,
, and using the identity
provides us with:
 |
(9) |
We note that
because
except on a set of measure zero, and
. Furthermore,
since
and
.
implies that
, or that there is no azimuthal anisotropy observable over the ray path at that time or depth in the gather. In that case the concept of a principal anisotropic axis is meaningless and
, so we will disregard it and assume
, or that there is some observable azimuthal anisotropy present. Furthermore,
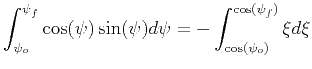
since:
 |
(10) |
and
. Therefore:
 |
(11) |
To determine the
that maximizes
we take the first and second derivatives:
 |
(12) |
and
 |
(13) |
Equation A-8 achieves a maxima where equation A-9 is zero and equation A-10 is negative. This occurs whenever
is a multiple of
. Due to restrictions imposed on
and
,
, so the only permissible maximizing value within that interval is
or equivalently
. To confirm that this is indeed the maximizing value, note the limit of the second derivative of
in equation A-10 as
is positive, indicating that at the edges of the domain
approaches a minima rather than a maxima.
Because the test functions
have no dependance on
, it is trivial to show the same result holds for image gathers that are sampled in azimuth and offset rather than azimuth and inclination.
This derivation allows us to provide an explicit definition of the anisotropic intensity attribute. We defined anisotropic intensity to be the difference between the maximizing and minimizing value of equation 3. Examining the derivation in this appendix, we see that the maximizing value occurs at
. The minimizing value occurs when equation A-9 is equal to 0 and equation A-10 is positive, which happens in the limit of
. This limit is equivalent to
, with the addition or subtraction used for finding
defined with modulo 180 so it ``wraps'' from 180 to 0. This result is intuitive, as we expect the anisotropic slow axis, where the minimum is attained, to be perpendicular to the anisotropic fast axis. Thus, if we assume
attains the minimizing value, we may define anisotropic intensity
:
 |
(14) |
or equivalently:
 |
(15) |
so
is a measure of the average amplitude of ``wiggle'' caused by the anisotropic ellipse across the gather.
implies that no azimuthal anisotropy is present over the ray path. Increasing the average ``wiggle'' increases the value of
.
 |
 |
 |
 | Quantifying and correcting residual azimuthal anisotropic moveout in image gathers using dynamic time warping |  |
![[pdf]](icons/pdf.png) |
Next: Bibliography
Up: Decker and Zhang: DTW
Previous: Conclusions
2021-10-25