 |
 |
 |
 | On anelliptic approximations for qP velocities in TI and orthorhombic media |  |
![[pdf]](icons/pdf.png) |
Next: Examples
Up: Proposed Approximations
Previous: Proposed Approximations
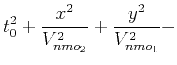
To convert the proposed group-velocity approximation (equation 47) to the corresponding moveout approximation, we apply again the general expression given in equation 31. Adopting the same notation rules, the moveout approximation takes the form:
where
 |
(55) |
 |
|
|
(56) |
 |
|
|
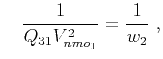
(57) |
denotes the offset in
direction,
denotes the offset in
direction,
denotes the NMO-velocity in
direction,
denotes the NMO-velocity in
direction,
and
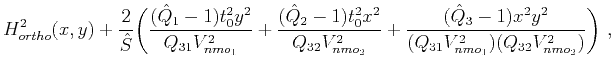
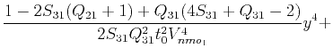
denotes the hyperboloidal part of reflection traveltime squared given below,
 |
(58) |
We apply the same strategy to reduce the number of parameters with an approximation on
for
as in equation 35.
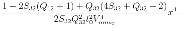
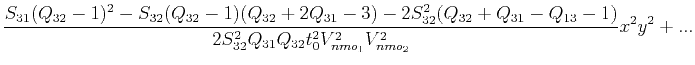
For small offset, the Taylor expansion of equation 54 is
The asymptote of this expression for unbounded offsets
and
is given by
and |
(60) |
which denote the horizontal velocities squared along
and
directions respectively.
 |
 |
 |
 | On anelliptic approximations for qP velocities in TI and orthorhombic media |  |
![[pdf]](icons/pdf.png) |
Next: Examples
Up: Proposed Approximations
Previous: Proposed Approximations
2017-04-14