next up previous [pdf]

Next: Moveout approximation Up: Transversely isotropic media Previous: Previous Approximations

Proposed Approximations

To derive a more symmetric form, we return to the four-parameter expressions (equations 17 and 18) and propose to modify them as follows:

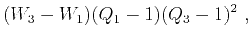
$\displaystyle v^2_{phase} \approx e(n_1,n_3)(1-\hat{s}) + \hat{s}\sqrt{e^2(n_1,n_3) + \frac{2(\hat{q}-1)w_1w_3n^2_{1}n^2_{3}}{\hat{s}}}~,\\ $ (23)

and

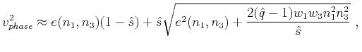
$\displaystyle \frac{1}{v^2_{group}} \approx E(N_1,N_3)(1-\hat{S}) + \hat{S}\sqrt{E^2(N_1,N_3) + \frac{2(\hat{Q}-1)W_1W_3N^2_{1}N^2_{3}}{\hat{S}}}~,$ (24)

where
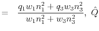
$\displaystyle \hat{q}$ $\displaystyle = ~~\frac{q_1 w_1 n^2_1 + q_3 w_3 n^2_3}{w_1 n^2_1 + w_3 n^2_3},~\hat{Q}$ $\displaystyle =~~ \frac{Q_1 W_1 N^2_1 + Q_3 W_3 N^2_3}{W_1 N^2_1 + W_3 N^2_3}~,$ (25)
$\displaystyle \hat{s}$ $\displaystyle = ~~\frac{s_1 w_1 n^2_1 + s_3 w_3 n^2_3}{w_1 n^2_1 + w_3 n^2_3},~\hat{S}$ $\displaystyle =~~ \frac{S_1 W_1 N^2_1 + S_3 W_3 N^2_3}{W_1 N^2_1 + W_3 N^2_3}~.$ (26)

The modifications in equation 25 are equivalent to the second anelliptic approximations by Dellinger et al. (1993). Again, parameters $ q_3$ and $ q_1$ can be found by fitting the velocity profile curvatures at the vertical ($ \theta = 0$ ) and horizontal ( $ \theta = \pi/2$ ) axis, respectively and are defined in equations 1 and 2. Analogously, $ s_3$ and $ s_1$ can be found by fitting the fourth-order derivative ( $ d^4v_{phase}/d\theta^4$ ) at the same angle. A similar strategy applies to fitting parameters for the group-velocity approximation. Note that expressions for $ s_3$ and $ S_3$ are different from equations 19 and 20.

Following this approach, we derive the following expressions for $ s_1$ , $ s_3$ , $ S_1$ , and $ S_3$ :

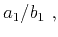
$\displaystyle s_1$ $\displaystyle =$ $\displaystyle a_{1}/b_{1}~,$ (27)
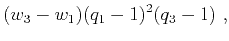
$\displaystyle a_{1}$ $\displaystyle =$ $\displaystyle (w_3-w_1)(q_1-1)^2(q_3-1)~,$  
$\displaystyle b_{1}$ $\displaystyle =$ $\displaystyle 2[w_3(q_1(q_1(q_1-2)+3)-2q_1q_3+q_3^2-1) - w_1(q_3(q_1(q_1-4)+q_3+1) +2q_1 -1 )]~,$  
       
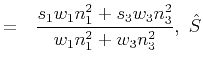
$\displaystyle s_3$ $\displaystyle =$ $\displaystyle a_{3}/b_{3}~,$ (28)
$\displaystyle a_{3}$ $\displaystyle =$ $\displaystyle (w_1-w_3)(q_1-1)(q_3-1)^2~,$  
$\displaystyle b_{3}$ $\displaystyle =$ $\displaystyle 2[w_1(q_3(q_3(q_3-2)+3)-2q_1q_3+q_1^2-1) - w_3(q_1(q_3(q_3-4)+q_1+1) +2q_3 -1 )]~,$  
       


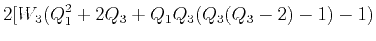
$\displaystyle S_1$ $\displaystyle =$ $\displaystyle A_{1}/B_{1}~,$ (29)
$\displaystyle A_{1}$ $\displaystyle =$ $\displaystyle (W_1-W_3)(Q_1-1)^2(Q_3-1)~,$  
$\displaystyle B_{1}$ $\displaystyle =$ $\displaystyle 2[W_1(Q_3^2 +2Q_1 +Q_1Q_3(Q_1(Q_1-2)-1)-1)$  
    $\displaystyle - W_3(Q_3^2-2Q_1Q_3+Q_1(Q_1(Q_1-1)^2+2)-1)]~,$  
       
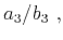
$\displaystyle S_3$ $\displaystyle =$ $\displaystyle A_{3}/B_{3}~,$ (30)
$\displaystyle A_{3}$ $\displaystyle =$ $\displaystyle (W_3-W_1)(Q_1-1)(Q_3-1)^2~,$  
$\displaystyle B_{3}$ $\displaystyle =$ $\displaystyle 2[W_3(Q_1^2 +2Q_3 +Q_1Q_3(Q_3(Q_3-2)-1)-1)$  
    $\displaystyle - W_1(Q_1^2-2Q_1Q_3+Q_3(Q_3(Q_3-1)^2+2)-1)]~.$  

Note that equations 23 and 24 introduce three more parameters generating six parameters in total, namely $ w_1$ , $ w_3$ , $ q_1$ , $ q_3$ , $ s_1$ , and $ s_3$ for equation 23 or $ W_1$ , $ W_3$ , $ Q_1$ , $ Q_3$ , $ S_1$ , and $ S_3$ for equation 24. However, expressing $ s_i$ and $ S_i$ in terms of $ q_i$ and $ Q_i$ in equations 27-30, we effectively reduce the dependency to four parameters. This reduction leads to four-parameter anelliptic approximations, which fit up to the fourth-order accuracy along both axes. The exact phase- and group-velocity expressions also require the total of four independent parameters. However, the advantage of the proposed approximations lies in the existence of the group-velocity expression (equation 24) with analogous functional form as the phase-velocity expression (equation 23). To reduce the number of parameters to three, we utilize the linear relationships between $ q_1$ and $ q_3$ given in Figure 1. The required $ Q_1$ and $ Q_3$ parameters for the group-velocity approximations can be found from the reciprocals of $ q_1$ and $ q_3$ for phase-velocity approximations, as mentioned above. Therefore, both phase- and group-velocity approximations derived on the basis of this approach require the same number of parameters.



Subsections
next up previous [pdf]

Next: Moveout approximation Up: Transversely isotropic media Previous: Previous Approximations

2017-04-14