next up previous [pdf]

Next: ACCURACY TESTS Up: General method for parameter Previous: Nonzero-offset ray

Horizontal ray

If the reference ray happens to be horizontal, both $X$ and $T$ are infinite, and equations 22-23 are not directly applicable. However, one can use the same principle and match two terms for the behavior of the traveltime at infinitely large offsets. If the traveltime behaves as

$\displaystyle t^2(x) \approx T_{\infty}^2 + P_{\infty}^2\,x^2$     (24)

for $x$ approaching infinity, then, matching the corresponding behavior of approximation 2, we find that
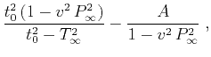
$\displaystyle B$ $\textstyle =$ $\displaystyle \frac{t_0^2\,(1 - v^2\,P_{\infty}^2)}{t_0^2-T_{\infty}^2} -
\frac{A}{1 - v^2\,P_{\infty}^2}\;,$ (25)
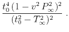
$\displaystyle C$ $\textstyle =$ $\displaystyle \frac{t_0^4\,(1 - v^2\,P_{\infty}^2)^2}{(t_0^2-T_{\infty}^2)^2}\;.$ (26)




2013-07-26