next up previous [pdf]

Next: Line fitting Up: Fomel: Adaptive multiple suppression Previous: Introduction

Stationary and nonstationary regression

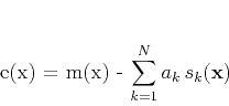
Consider a ``master'' signal $m(\mathbf{x})$, where $\mathbf{x}$ represents the coordinates of a multidimensional space, and a collection of ``slave'' signals $s_k(\mathbf{x})$, $k=1,2,\ldots,N$. The goal of stationary regression is to estimate coefficients $a_k$, $k=1,2,\ldots,N$ such that the prediction error
\begin{displaymath}
e(\mathbf{x}) = m(\mathbf{x}) - \displaystyle \sum_{k=1}^{N} a_k\,s_k(\mathbf{x})
\end{displaymath} (1)

is minimized in the least-squares sense. Particular examples include:



Subsections


2013-07-26