 |
 |
 |
 | A 1-D time-varying median filter for seismic random, spike-like noise elimination |  |
![[pdf]](icons/pdf.png) |
Next: Synthetic data tests
Up: Theoretical basis
Previous: Signal-to-noise ratio (SNR) estimation
Using the above definitions, a TVMF can be designed. We use the following three steps to determine its parameters:
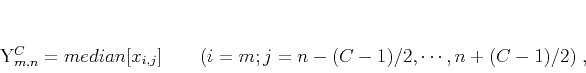
1. Choose the reference median filter length.
At point
, where the filter-window length of the reference
median filter is chosen as
, output can be expressed as
![\begin{displaymath}
Y_{m,n}^C = median[x_{i,j}] \qquad (i=m;j=n-(C-1)/2,\cdots,n+(C-1)/2)\;,
\end{displaymath}](img26.png) |
(8) |
where filter-window length
is a large odd number
so that random noise could be eliminated as much as possible.
is determined
by using the SNR estimation method, which will be discussed later.
2. Choose the threshold value.
Using the reference median filter with its large filter-window length, we processed
the seismic data first to find
. Then we applied the absolute mean value
to calculate the threshold value, which is shown as
 |
(9) |
We can evaluate random-noise data versus useful signal data by using the threshold
value. When
, the point is judged to be random noise, whereas when
, the point should be signal data. We can therefore use the
threshold value as a judgment norm - data in which
should be
processed by the median filter having windows smaller than
to protect the
detailed signal structure. Data in which
should be processed
by the median filter having windows larger than
to strengthen its ability to
eliminate random noise.
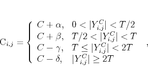
3. Choose the time-varying filter windows.
Choices involving time-varying windows abound after the threshold value has been
chosen. We can define four scales of windows. Detailed time-varying
window length
is defined as
 |
(10) |
where
,
,
, and
are constant even numbers, and
and
. Specific values for these
parameters will be discussed in the next section. Using
the above definition, we distinguish between random noise
and useful signal, such that we can process
the seismic data using different filter scales.
 |
 |
 |
 | A 1-D time-varying median filter for seismic random, spike-like noise elimination |  |
![[pdf]](icons/pdf.png) |
Next: Synthetic data tests
Up: Theoretical basis
Previous: Signal-to-noise ratio (SNR) estimation
2013-07-26