next up previous [pdf]

Next: Median filtering Up: Method Previous: Independent marine-streamer simultaneous shooting

Transformation between different domains

The coherency of simultaneous-source data is not the same in different domains. The interference appears coherent in common-shot gathers (CSG); however, the interference turns out to be incoherent when observed in common-midpoint gathers (CMG), common-offset gathers (COG) and common-receiver gathers (CRG).The transformation from shot-receiver domain to midpoint-half-offset domain can be realized by the following equations:

$\displaystyle \mathbf{m}$ $\displaystyle = \frac{\mathbf{s}+\mathbf{r}}{2},$ (1)
$\displaystyle \mathbf{h}$ $\displaystyle = \frac{\mathbf{r}-\mathbf{s}}{2},$ (2)

where $ \mathbf{m}$ , $ \mathbf{s}$ and $ \mathbf{r}$ denote the coordinates of midpoint, shot, and receiver, respectively. $ \mathbf{h}$ denotes the half-offset (with sign).

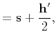
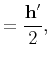
The transformation from shot-offset domain (the acquired data from marine streamer) to midpoint-half-offset domain can be realized by the following equations:

$\displaystyle \mathbf{m}$ $\displaystyle = \mathbf{s}+\frac{\mathbf{h}'}{2},$ (3)
$\displaystyle \mathbf{h}$ $\displaystyle = \frac{\mathbf{h}'}{2},$ (4)

where $ \mathbf{h}'$ denotes the full offset.

Figure 4a shows synthetic shot-offset domain unblended data simulated from marine-streamer acquisition. Figure 4b shows the corresponding shot-offset-domain blended data using the IMSSS blended acquisition (with two sources). We can observe that the interference from the other source appears to be coherent in CSG. After transformation from the shot-offset domain to the midpoint-half-offset domain, the blending noise becomes random and spike-like, as shown in Figure 4c. Then deblending problem thus turns into a common denoising problem. Thus, in this section of examples, we focus on removing spiky noise in CMG. In the following sections, CSG also refers to the shot-offset domain and CMG also refers to the midpoint-half-offset domain.

data-csg datas-csg data-blend
data-csg,datas-csg,data-blend
Figure 4.
(a) Unblended data in the shot-offset domain. (b) Blended data in the shot-offset domain. (c) Blended data in the midpoint-half-offset domain.
[pdf] [pdf] [pdf] [png] [png] [png] [scons]


next up previous [pdf]

Next: Median filtering Up: Method Previous: Independent marine-streamer simultaneous shooting

2014-11-10