next up previous [pdf]

Next: Frequency responses Up: 2D linear phase approximation Previous: Additional constraint

Directional separability

The combined linear system can be solved analytically. It is based on the property that $ f_{k_1k_2}$ can be decoupled into the product of two terms, as shown in the appendix,

$\displaystyle f_{k_1k_2}(p_1,p_2)=b_{k_1}(p_1)b_{k_2}(p_2),$ (14)

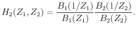
where $ b_{k_1}(p_1)$ and $ b_{k_2}(p_2)$ denote coefficients of the 1D maxflat fractional delay filter used to approximate $ Z_1^{p_1}$ and $ Z_2^{p_2}$ respectively. Equation 14 implies that the 2D maxflat filter $ H_2(Z_1,Z_2)$ is equivalent to a cascade of two 1D maxflat filters,

$\displaystyle H_2(Z_1,Z_2)= \frac{B_1(1/Z_1)}{B_1(Z_1)} \frac{B_2(1/Z_2)}{B_2(Z_2)}.$ (15)

$ B_1(Z_1)$ and $ B_2(Z_2)$ can be designed in the same way as for the line-interpolating PWD, whose coefficients are given by equation 5. $ H_2(Z_1,Z_2)$ can be implemented by applying the 1D maxflat filter on each direction independently.

This separability of the maxflat linear phase filter extends to 3D and higher dimensions.


next up previous [pdf]

Next: Frequency responses Up: 2D linear phase approximation Previous: Additional constraint

2013-08-09