next up previous [pdf]

Next: Methodology Up: Decker & Fomel: Probabilistic Previous: Introduction

Theory

We may write the imaging condition of Landa et al. (2006) for weighted path-integral image $ Q_w$ , weights $ w \left( \eta \right)$ , stack $ Q\left( \eta \right)$ and wavefront multiparameter $ \eta$ , which parameterizes all possible ray paths as:

$\displaystyle Q_w = \int w \left( \eta \right)   Q \left( \eta \right)   d \eta .$ (1)

Allowing $ w \left( \eta \right)$ to be a probability distribution, $ Q_w$ becomes an image expectation value. For the case of time migration, ray paths are uniquely parameterized by velocity, so $ \eta$ in the above equation may be replaced by $ v$ . A deterministic image would use a Dirac delta at the most likely velocity as the weight function. To create our weight functions we will apply Oriented Velocity Continuation (OVC) to generate a collection of slope-decomposed seismic images over different migration velocities, $ I(\mathbf{x},v,p)$ , where $ \mathbf{x}$ is a vector describing the position within a seismic image, $ v$ is the migration velocity, and $ p$ is the image slope. If we consider each slope-decomposed seismic trace within a gather at position $ \mathbf{\tilde{x}}$ at velocity $ \tilde{v}$ , $ I(\mathbf{\tilde{x}},\tilde{v},p)$ , to be independent, we may calculate gather semblance and treat it as a likelihood of a properly migrated seismic diffraction event occurring at that location. This is based on the observation that diffractions migrated with correct velocity possess flat angle-gathers. The semblance, $ \alpha \in \left[ 0,1 \right]$ , which will serve as our first weight for path integration, may be calculated as:

$\displaystyle \alpha(\mathbf{x},v) = \frac{\left(\int I(\mathbf{x},v,p)   dp \right)^2}{\int I(\mathbf{x},v,{p})^2   dp} ,$ (2)

$\displaystyle W_1(\mathbf{x},v) = \alpha(\mathbf{x},v).$ (3)

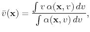
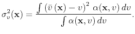
Note that unbounded integrals are considered to be over the whole domain of the integrating variable. To avoid issues related to dividing by 0 , all division operations are treated as an inversion involving shaping regularization (Fomel, 2007). Semblance may be used additionally to calculate the expectation velocity $ \bar{v}(\mathbf{x})$ at each location $ \mathbf{x}$ and the corresponding velocity variance, $ \sigma^2_v(\mathbf{x})$ :

$\displaystyle \bar{v}(\mathbf{x}) = \frac { \int v   \alpha(\mathbf{x},v)   dv }{ \int \alpha(\mathbf{x},v)   dv },$ (4)

$\displaystyle \sigma^2_v(\mathbf{x}) = \frac { \int \left( \bar{v} \left(\mathb...
...v \right)^2   \alpha(\mathbf{x},v)   dv }{ \int \alpha(\mathbf{x},v)   dv }.$ (5)

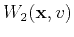
The denominator ensures proper normalization of $ \alpha$ , whose integral over $ v$ is not necessarily equal to $ 1$ . Assuming normally distributed diffraction information around the expectation velocity allows us to construct our second weight, $ W_2(\mathbf{x},v)$ :

$\displaystyle W_2(\mathbf{x},v) = \frac{ \exp \left( - \frac{\left( \bar{v}(\ma...
...left( \bar{v}(\mathbf{x}) - v \right)^2}{2\sigma^2_v(\mathbf{x})} \right) dv }.$ (6)

We construct our final weight, $ W_3(\mathbf{x},v)$ using the observation that properly migrated diffractions are focused, or localized in space, and therefore the magnitude of the spatial derivative of semblance normalized by the value of semblance at that location should change rapidly in the vicinity of properly migrated diffractions:

$\displaystyle W_3(\mathbf{x},v) = \frac{\lvert \lvert \nabla_\mathbf{x} \alpha(\mathbf{x},v) \rvert \rvert_{2}}{\alpha(\mathbf{x},v)} .$ (7)

More weights may be used by eager practitioners able to determine other attributes correlated to diffraction likelihood, but seeking a simplification, we content ourselves with three. Thus, for $ m$ weights enumerated by $ j$ , and allowing $ \tilde{I}(\mathbf{x},v) = \int I(\mathbf{x},v,p)   dp$ , we may calculate our probabilistic diffraction image as:

$\displaystyle \widehat{I}(\mathbf{x}) = \int \tilde{I}(\mathbf{x},v) \prod_{j=1}^m W_j(\mathbf{x},v)   dv .$ (8)

Note that the weights we have constructed (and the combined weights) are pseudo-probabilities with the exception of $ W_2$ . They do not have all the properties of a true probability function, as that would imply that a diffraction must occur within a region in space. Rather, these weights show a general tendency for whether or not diffractions are likely to occur. Because $ W_2$ is a probability of a velocity being accurate, and intuitively we assume that there must exist an accurate migration velocity at every point in space, we may build that weight so it fulfills the criteria of a probability.


next up previous [pdf]

Next: Methodology Up: Decker & Fomel: Probabilistic Previous: Introduction

2022-04-29