The K-SVD method (Aharon et al., 2006) is one approach that solves equation 4 with good performance. The dictionaries in
are not obtained at a time. Instead,
columns in
are updated one by one while fixing
. In order to update the
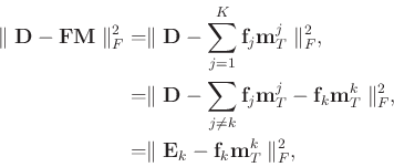
th column, one can first write the objective function in equation 4 as
 |
(5) |
where
is the
th column vector in
,
is the
th row vector in
. Here,
simply indicates a row vector. For simplicity, in equation 5 and the following derivations, I omit the superscript
shown in equation 4.
is the fitting error using all column vectors other than the
th dictionary and their corresponding coefficients row vectors.
Note that in equation 5,
and
are of size
,
is of size
, and
is of size
. Here,
is the length of each training signal,
is the number of training signals, and
is the number of atoms in the dictionary.
It is now obvious that the
th dictionary in
is updated by minimizing the misfit between the rank-1 approximation of
and the
term. The rank-1 approximation is then solved using the singular value decomposition (SVD).
A problem in the direct use of SVD for rank-1 approximation of
is the loss of sparsity in
. After SVD on
,
is likely to be filled. In order to solve such problem, K-SVD restricts minimization of equation 5 to a small set of training signals
. To achieve this goal, one can define a transformation matrix
to shrink
and
by rejecting the zero columns in
and zero entries in
. First one can define a set
, which selects the entries in
that are non-zero. One then constructs
as a matrix of size
with ones on the
entries and zeros otherwise.
Applying
to both
and
, then the objective function in equation 5 becomes
 |
(6) |
and can be minimized by directly using SVD:
 |
(7) |
is then set as the first column in
, the coefficient vector
as the first column of
multiplied by first diagonal entry
. After
columns are all updated, one turns to solve equation 3 for
.
2020-04-03