next up previous [pdf]

Next: Examples Up: Liu et al.: Stacking Previous: MEASUREMENT OF LOCAL SIMILARITY

STACKING USING LOCAL SIMILARITY FOR NORMALIZATION OF ILLUMINATION

Once we obtain ADCIGs by migration, the final image of subsurface can be obtained by stacking over the angle axis in ADCIGs. Assuming reflectivity is angle independent, we can write equal-weight stacking as

\begin{displaymath}
\widehat{I} (\mathbf{m}) = \frac{1}{N} \sum_{\theta=1}^{N}\mathbf{I}(\mathbf{m},\mathbf{\theta})\;.
\end{displaymath} (6)

where $N$ is the number of samples in the reflection angle. To get rid of the artifacts caused by poor sampling of the sources or receiver wavefield or complex structure, Tang (2007) suggested stacking only angles with good illumination and dense sampling and applied selective stacking using envelopes as weights of stacking.

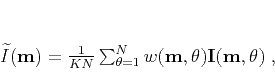
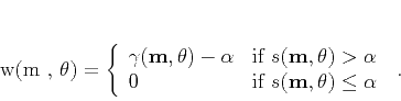
In this paper, we use local similarity with soft thresholding as weights to normalize the stacking:

\begin{displaymath}
\widetilde{I} (\mathbf{m}) = \frac{1}{KN} \sum_{\theta=1}...
...(\mathbf{m} , \theta)\mathbf{I}(\mathbf{m},\mathbf{\theta})\;,
\end{displaymath} (7)


\begin{displaymath}
w(\mathbf{m} , \theta) = \left\{ \begin{array}{ll} \gamma...
...if $s(\mathbf{m} , \theta) \leq \alpha$} \end{array}\right.\;.
\end{displaymath} (8)

Here, $\gamma (\mathbf{m},\theta)$ is local similarity between initial imagecomputed $\widehat{I}$ by equation refeq:e6 and ADCIGs $I(\mathbf{m} ,\theta)$. Local similarity can be computed by equations 3 through refeq:e5. Equation 8 is soft thresholding (Donoho, 1995), which can define the fold of local illumination for each image point, $\mathbf{m}$. Normalizationis $K$ the sum of weights. Normalization $N$ in equation 7, the number of samples with $w(\mathbf{m},\theta)\ne 0$, can restore migration amplitude by discarding some samples of angle, which are likely artifacts or noise. We assume that the discarded samples in ADCIGs are entirely artifacts or noise, probably caused by irregular acquisition or complex propagation in the complex subsurface model.

In the following, we use a simple example to illustrate our method. Figure 1a is a simple synthetic ADCIG with 30 samples of reflection angle, and we add Gaussian random noise to the ADCIG. Assume that the reflection coefficients are equal and angle independent. Note that the third and fourth reflectors are not entirely illuminated. The image created by directly stacking this ADCIG is shown in Figure 1d. Third and fourth reflectors are not restored in equal-weight stacking because of poor illumination. The local similarity between the direct equal-weight stacking image (Figure 1c) and ADCIG (Figure 1a) computed by equations 3 through 5 is shown in Figure 1b. Note that the local similarity can approximate local illumination of the reflection angle. Xie et al. (2006) presented a method of computing illumination distribution as a function of reflection angle on the basis of one-way wave equation. We apply soft thresholding in local similarity to select angles with good illumination to contribute to the stacking. And then we use the number of samples of reflection angles with good illumination to normalize the image. In comparing our method with the equal-weight stacking method, note that the third and the fourth reflection coefficients are balanced well and the signal-noise ratio is also improved by our method (Figure 1e). Amplitudes in Figure 1e are almost the same as those of the ideal image (Figure 1c).

compare1
compare1
Figure 1.
A simple example. (a) Synthetic ADCIGs with different folds; (b) local similarity; (c) ideal reflectivity; (d) initial equal-weight stacking; (e) stacking with normalization using local similarity.
[pdf] [png] [scons]

In Kirchhoff integral migration, Beylkin's theory (Beylkin, 1985) shows how to take into account irregularities of illumination caused by acquisition irregularities or wave propagation in complex media (Audebert et al., 2005). The Beylkin determinant estimates the local smooth illumination density function by computation of traveltime between surface locations and subsurface image point. In this paper, the local fold of illumination in the denominator of equation 7 is estimated by local similarity with soft thresholding. Because this estimation of the fold of local illumination is computed after imaging, the method can be thought of as postprocessing after migration.

When reflection coefficients are angle dependent (known as amplitude versus angle [AVA]), the proposed method can be regarded as an average effect of all angle-dependent reflection coefficients. It can enhance the image and restore relative amplitudes. When considering the AVA effect in stacking processing, one should use the accurate AVA inversion to obtain the reflection coefficient of the same reflection angle for all image points (Kuhl and Sacchi, 2003), such as zero-reflection-angle reflectivity, or retrieve the map of relative slowness perturbations from multishot seismic data (Kiyashchenko et al., 2007).


next up previous [pdf]

Next: Examples Up: Liu et al.: Stacking Previous: MEASUREMENT OF LOCAL SIMILARITY

2013-07-26