Velocity analysis of blended data using similarity-weighted semblance

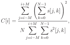
The conventional semblance is defined by Neidell and Taner (1971) as:

$\displaystyle C[i] = \frac{\displaystyle\sum_{j=i-M}^{i+M}\left(\sum_{k=0}^{N-1}s[j,k]\right)^2}{\displaystyle N\sum_{j=i-M}^{i+M}\sum_{k=0}^{N-1}s^2[j,k]},$ (5)

where $i$ and $j$ are time sample indices, $C[i]$ denotes the conventional semblance for time index $i$, $2M+1$ is the length of the smoothing window along the time axis, and $s[j,k]$ is the trace amplitude at time index $j$ and trace number $k$ of the NMO-corrected CMP gather.

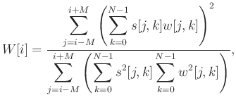
The weighted semblance introduced in Chen et al. (2015b) can be summarized as:

$\displaystyle W[i] = \frac{\displaystyle\sum_{j=i-M}^{i+M}\left(\sum_{k=0}^{N-1...
...um_{j=i-M}^{i+M}\left(\sum_{k=0}^{N-1}s^2[j,k]\sum_{k=0}^{N-1}w^2[j,k]\right)},$ (6)

where $W[i]$ denotes the weighted semblance, $w[j,k]$ denotes the weighting function for time index $j$ and trace number $k$.

There have existed several weighting criteria, such as the AB semblance (Fomel, 2009), offset-prior semblance (Luo and Hale, 2012), and the similarity-weighted semblance (Chen et al., 2015b). As the similarity-weighted semblance can improve the resolution of velocity spectrum greatly, and has the possibility to subtract noise effect, we choose the local similarity (Fomel, 2007a) to weight different traces:

$\displaystyle w[j,k]=\mathcal{L}(s[j,k],r[j]),$ (7)

where $\mathcal{L}(\mathbf{x},\mathbf{y})$ denotes the local similarity between traces $\mathbf{x}$ and $\mathbf{y}$, $r[j]$ denotes the $j$th time point for a selected reference trace $\mathbf{r}$. In this paper, the reference trace is chosen as the stacked trace using a conventional stacking technique. Figure 2 shows a demonstration of the velocity spectrum calculated using the similarity-weighted semblance compared with the velocity spectrum calculated using the traditional semblance. The left panel in Figure 2 shows a simple synthetic data with four hyperbolic events. The middle and right panels show the velocity spectrum calculated using the traditional and the proposed semblance, respectively. It is obvious that the similarity-weighted semblance is of high resolution.

synth-comp
synth-comp
Figure 2.
A brief comparison between the similarity-weighted semblance and the conventional semblance. Left: simple synthetic data. Middle: semblance map using the conventional semblance. Right: semblance map using the similarity-weighted semblance.
[pdf] [png] [scons]

It is worth mentioning that, the selection of the reference trace needs several iterations in practice. It is obvious that the similarity-weighted semblance is calculated with an inherent denoising ability. The noise attenuation involved in the similarity-weighted semblance is much similar to that used in Liu et al. (2009) for attenuating random noise in the stacking process. Because of intense interference existing in the simultaneous-source data, conventional semblance will decrease the resolution because of the corruption by the blending interference. However, the beauty of the similarity-weighted semblance is that it enforces an inherent noise attenuation solely in the semblance calculation stage, without any extra process specifically designed for noise attenuation. The key element that enables the anti-noise ability of the similarity-weighted semblance is the local similarity based weights. In the next part, we will review the basic theory of the local similarity.


2020-04-11