next up previous [pdf]

Next: The optimization formulation Up: Theory Previous: Theory

Connection between time- and depth-domain attributes

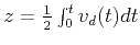
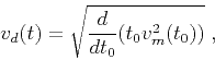
In Figure 1, we illustrate image rays in 2-D and a forward mapping from depth coordinate $(z,x)$ to time coordinate $(t_0,x_0)$ (Hubral, 1977). Throughout this paper $t_0$ stands for one-way time, while time migration usually produces images in two-way time (Yilmaz, 2001), i.e. $(2 t_0,x_0)$. Under the assumption of no caustics, for each subsurface location $(z,x)$ we consider the image ray from $(z,x)$ to the surface, where it emerges at point $(0,x_0)$, with slowness vector normal to the surface. Here $x_0$ is the location of the image ray at the earth surface and is a scalar. $t_0$ is the traveltime along this image ray between $(z,x)$ and $(0,x_0)$. The forward mapping $t_0 (z,x)$ and $x_0 (z,x)$ can be done with a knowledge of interval velocity $v (z,x)$. A unique inverse mapping $z (t_0,x_0)$ and $x (t_0,x_0)$ also exists that enables us to directly map the time-migrated image to depth.

imageray
imageray
Figure 1.
Image ray in (left) the depth-domain can be traced with a source at location $x_0$ with slowness vector normal to the earth surface. Each depth coordinate $(z,x)$ along this image ray is then mapped into (right) the time coordinate $(t_0,x_0)$ by using its corresponding traveltime $t_0$ and source location $x_0$.
[pdf] [png]

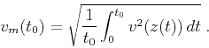
The counterpart for $v (z,x)$ in the time-domain is the time-migration velocity $v_m (t_0,x_0)$, which is commonly estimated in prestack Kirchhoff time migration (Yilmaz, 2001; Fomel, 2003). In a $v(z)$ medium, $v_m$ corresponds to the root-mean-square (RMS) velocity:

\begin{displaymath}
v_m (t_0) = \sqrt{\frac{1}{t_0} \int_0^{t_0} v^2 (z(t)) dt}\;.
\end{displaymath} (1)

A time-to-depth velocity conversion can be done by first applying the Dix inversion formula (Dix, 1955), which is theoretically exact in this case:
\begin{displaymath}
v_d (t) = \sqrt{\frac{d}{d t_0} (t_0 v_m^2 (t_0))}\;,
\end{displaymath} (2)

followed by performing a simple conversion from $v_d (t)$ to $v(z)$ according to $z = \frac{1}{2} \int_0^t v_d (t) dt$.

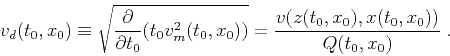
In equations 1 and 2, there is no dependency on $x_0$ or $x$, because image rays are all vertical. For an arbitrary medium, image rays will bend as they travel through the medium (Larner et al., 1981). Therefore, in general, $v_m$ is a function of both $t_0$ and $x_0$ and no longer satisfies the simple expression 1, which limits the applicability of the Dix formula. Cameron et al. (2007) proved that the seismic velocity and the Dix velocity in this case are connected through geometrical spreading $Q$ of image rays:

\begin{displaymath}
v_d (t_0,x_0) \equiv \sqrt{\frac{\partial}{\partial t_0} (t_...
... (t_0,x_0))}
= \frac{v(z(t_0,x_0),x(t_0,x_0))}{Q(t_0,x_0)}\;.
\end{displaymath} (3)

In equation 3, the generalized Dix velocity is defined by Cameron et al. (2007) in a way similar to equation 2 with a change from $d / dt_0$ to a partial differentiation with respect to $t_0$. The quantity $Q$ is related to $x_0 (z,x)$ using its definition (Popov, 2002; Cameron et al., 2007), as follows:
\begin{displaymath}
\vert \nabla x_0 \vert^2 = \frac{1}{Q^2}\;.
\end{displaymath} (4)

Combining equations 3 and 4 results in

\begin{displaymath}
\vert \nabla x_0 (z,x) \vert^2 = \frac{v_d^2 (t_0 (z,x),x_0 (z,x))}{v^2 (z,x)}\;.
\end{displaymath} (5)

The traveltimes along image rays obey the eikonal equation (Chapman, 2004; Hubral, 1977), thus
\begin{displaymath}
\vert \nabla t_0 (z,x) \vert^2 = \frac{1}{v^2 (z,x)}\;.
\end{displaymath} (6)

Finally, since $x_0$ remains constant along each image ray, there is an orthogonality condition between gradients of $t_0$ and $x_0$ (Cameron et al., 2007):
\begin{displaymath}
\nabla t_0 (z,x) \cdot \nabla x_0 (z,x) = 0\;.
\end{displaymath} (7)

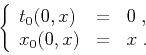
Equations 5, 6 and 7 form a system of nonlinear PDEs for $t_0 (z,x)$ and $x_0 (z,x)$. The input is $v_d (t_0,x_0)$, estimated from $v_m (t_0,x_0)$ by equation 3. Solving a boundary-value problem for the PDEs should provide $v (z,x)$, as well as $t_0 (z,x)$ and $x_0 (z,x)$. Because seismic acquisitions are limited to the earth surface, we can only use boundary conditions at the surface. For a rectangular Cartesian domain with $z =0$ being the surface, the boundary conditions are

\begin{displaymath}
\left\{ \begin{array}{lcl}
t_0 (0, x) & = & 0\;, \\
x_0 (0, x) & = & x\;.
\end{array} \right.
\end{displaymath} (8)

In Appendix A, we show that the time-to-depth conversion is an ill-posed problem because it requires solving a Cauchy-type problem for an elliptic PDE. The missing boundary conditions on sides of the computational domain other than those in equation 8 can induce numerical instability when extrapolating in $t_0$ (or, equivalently, $z$). Instead, we consider an alternative formulation of the problem in the following section.


next up previous [pdf]

Next: The optimization formulation Up: Theory Previous: Theory

2015-03-25