next up previous [pdf]

Next: Examples Up: Liu etc.: Time-frequency analysis Previous: Time-frequency analysis using local

ESTIMATION OF TIME-VARYING AVERAGE FREQUENCY

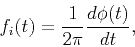
Seismic instantaneous frequency is the derivative of the instantaneous phase

\begin{displaymath}
f_{i}(t)=\frac{1}{2\pi}\frac{d\phi (t)}{dt},
\end{displaymath} (12)

where $\phi (t)$ is the instantaneous phase. Instantaneous frequency can be estimated directly using a discrete form of equation 12. This estimate is highly susceptible to noise. Fomel (2007a) modified the definition of instantaneous frequency to that of a local frequency by recognizing it as a form of regularized inversion, and by using regularization to constrain continuity and smoothness of the output.

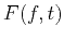
Average frequency can be estimated from the time-frequency map (Cohen, 1989; Steeghs and Drijkoningen, 2001; Sinha et al., 2009; Hlawatsch and Boudreaux-Bartels, 1992; Claasen and Mecklenbräuker, 1980). Average frequency at a given time is

\begin{displaymath}
f_{a}(t)=\frac{\int fF^{2}(f,t)df}{\int F^{2}(f,t)df},
\end{displaymath} (13)

where $F(f,t)$ is the time-frequency map. Average frequency measured by equation 13 is the first moment along the frequency axis of a time-frequency power spectrum. Saha (1987) and Brian et al. (1993) analyzed the relationship between instantaneous frequency and the time-frequency map in detail. Extraction of the attributes from the time-frequency map of the seismic trace leads to considerable improvement of the signal-to-noise ratio of the attributes (Steeghs and Drijkoningen, 2001). We therefore propose applying equation 13 to our time-frequency map to compute the time-varying average frequency.

ref-6 s-6
ref-6,s-6
Figure 3.
(a) Random reflectivity series. (b) Synthetic seismic trace.
[pdf] [pdf] [png] [png] [scons]

spec st-6 proj-6
spec,st-6,proj-6
Figure 4.
(a) Theoretical time-frequency map, which is scaled by a maximum in the frequency axis. White and black lines indicate dominant frequency and average frequency of Ricker wavelet, respectively. (b) Time-frequency map of the S-transform. (c) Time-frequency map of the proposed method.
[pdf] [pdf] [pdf] [png] [png] [png] [scons]

lcf-6
lcf-6
Figure 5.
Time-varying average-frequency estimation (blue solid curve: estimated by our method; pink dashed curve: estimated by S-transform; black dot-dashed curve: theoretical curve, which is denoted by black line in Figure 9).
[pdf] [png] [scons]

We used a synthetic nonstationary seismic trace to illustrate our approach to estimating time-varying average frequency. Figure 3b shows a synthetic seismic trace generated by nonstationary convolution (Margrave, 1998) of a random reflectivity series (Figure 3a) using a Ricker wavelet, the dominant frequency of which is a function of time, $f_{d}=25t^{2}+15$. Figure 9 shows the scaled spectrum of the Ricker wavelet. Both the dominant frequency (white line in Figure 9 and the bandwidth increase with time. We computed the average frequency (black line in Figure 9 using equation 13 from the scaled spectrum of Ricker wavelets. We note that average frequency is larger than the dominant frequency at high frequencies for Ricker wavelets.

We generated the time-frequency map of the synthetic nonstationary seismic trace using the S-transform (Figure 4b) and the proposed method with a 10-point smoothing radius (Figure 4c). We observe that the time-frequency map by the proposed method has a bandwidth more similar to that of the time-frequency map of the Ricker wavelet (Figure 9), especially at the high frequencies. We estimated time-varying average frequency curves from the time-frequency map by the proposed method (blue solid curve in Figure 5) and S-transform (pink dashed curve in Figure 5), respectively. Compared with the theoretical curve (black dashed curve in Figure 5), which was computed using equation 13 on the scaled spectrum of Ricker wavelets (Figure 9), the time-varying average frequency estimated by the proposed method is closer to the theoretical one.


next up previous [pdf]

Next: Examples Up: Liu etc.: Time-frequency analysis Previous: Time-frequency analysis using local

2013-07-26