next up previous [pdf]

Next: Propagating decoupled elastic wavefields Up: Propagating coupled elastic wavefields Previous: Pseudo-spectral solution of the

Adjustment to the pseudo-spectral solution

Generally, the two-step time-marching pseudo-spectral solution is limited to a small time-step, as larger time-steps lead to numerical dispersion and stability issues. At more computational costs, high-order finite-difference (Dablain, 1986) can be applied to address this difficulty. As an alternative to second-order temporal differencing, a time integration technique based on rapid expansion method (REM) can provide higher accuracy with less computational efforts (Kosloff et al., 1989). As Du et al. (2014) demonstrated, one-step time marching schemes (Zhang and Zhang, 2009; Sun and Fomel, 2013), especially using optimized polynomial expansion, usually give more accurate approximations to heterogeneous extrapolators for larger time-steps. In this section, we discuss a strategy to extend the time-step for the previous two-step time-marching pseudo-spectral scheme according to the eigenvalue decomposition of the Christoffel matrix.

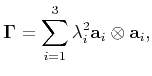
Since the Christoffel matrix is symmetric positive definite, it has a unique eigen-decomposition of the form:

$\displaystyle \mathbf{\Gamma} = \sum_{i=1}^{3}{\lambda^2_i\mathbf{a}_i\otimes{\mathbf{a}_i}},$ (9)

where $ \lambda^2_i$ 's are the eigenvalues and $ \mathbf{a}_i$ 's are the eigenvectors of $ \mathbf{\Gamma}$ , with $ \mathbf{a}_i\cdot{\mathbf{a}_j}=\delta_{ij}$ . The three eigenvalues correspond to phase velocities of the three wave modes with $ \lambda_i = v_{i}k$ (in which $ k=\vert\mathbf{k}\vert$ , and $ v_i$ represents the phase velocity) representing the circular frequency, and the corresponding eigenvector $ \mathbf{a}_i = ({a_i}_x, {a_i}_y,
{a_i}_z)$ represents the normalized polarization vector for the given mode. An alternative form of the above decomposition yields:

$\displaystyle \mathbf{\Gamma} = \mathbf{Q}\mathbf{\Lambda}{\mathbf{Q}^{T}},$ (10)

with

$\displaystyle \mathbf{\Lambda}=
 \begin{pmatrix}{\lambda^2_1} & 0 &0 \cr 
 0 & {\lambda^2_2} & 0\cr
 0 & 0 & {\lambda^2_3}\end{pmatrix},$ (11)

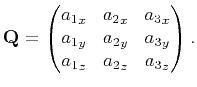
$\displaystyle \mathbf{Q}=
 \begin{pmatrix}{a_1}_x & {a_2}_x &{a_3}_x \cr 
 {a_1}_y & {a_2}_y &{a_3}_y \cr
 {a_1}_z & {a_2}_z &{a_3}_z \end{pmatrix}.$ (12)

Note $ \mathbf{Q}$ is an orthogonal matrix, i.e., $ \mathbf{Q}^{-1}=\mathbf{Q}^{T}$ .

The eigenvalues represent the frequencies and satisfy the condition given by,

$\displaystyle \lambda_i = v_{i}k \le 2\pi{f_{max}},$ (13)

in which $ f_{max}$ is the maximum frequency of the source. Therefore, we suggest to filter out the high-wavenumber components in the wavefields beyond $ 2\pi{f_{max}}/v_{min}$ ($ v_{min}$ is the minimum phase velocity in the computational model) caused by the numerical errors to enhance numerical stability.

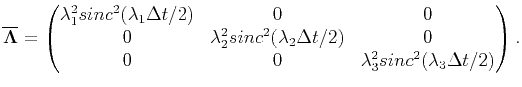
According to above eigen-decomposition, we apply the $ k$ -space adjustment to our pseudo-spectral scheme by modifying the eigenvalues of Christoffel matrix for the anisotropic elastic wave equation (see Appendix C), i.e.,

$\displaystyle \overline{\mathbf{\Lambda}}=
 \begin{pmatrix}{\lambda^2_1}{sinc}^...
...2}) & 0\cr
 0 & 0 & {\lambda^2_3}{sinc}^2(\lambda_3{\Delta{t}/2})\end{pmatrix}.$ (14)

Thus this adjustment inserts a modified Christoffel matrix, i.e., $ \overline{\mathbf{\Gamma}} = \mathbf{Q}\overline{\mathbf{\Lambda}}{\mathbf{Q}^{T}}$ , into the original pseudo-spectral formula on the basis of equations 6 and 8. Note that the $ k$ -space adjustment to the pseudo-spectral solution has been widely used in acoustic and ultrasound (Tabei et al., 2002; Bojarski, 1982) and elastic isotropic wavefield simulation (Firouzi et al., 2012; Liu, 1995).


next up previous [pdf]

Next: Propagating decoupled elastic wavefields Up: Propagating coupled elastic wavefields Previous: Pseudo-spectral solution of the

2016-11-21