next up previous [pdf]

Next: Bibliography Up: Deng etc.: AVO stacking Previous: Conclusions

Acknowledgments

We would like to thank Sergey Fomel and Guochang Liu for the introduction to the techniques of AB semblance and local-similarity-weighted stacking and for many useful discussions. Helpful comments and suggestions from three referees greatly improved the quality of the manuscript. Pan Deng appreciated August Lau for providing much advice in generalizing the application of the weighted stacking. This work is supported by the Research Assistantship at the University of Houston, the China Scholarship Council (grant No. 2011645012), and the SEG Foundation Scholarships.

Appendix A

AB semblance: Least-squares fitting for the trend

Suppose that the weight $ w(i,j)$ in equation 2 has a trend of trace amplitude $ d(i,j)$ ,

$\displaystyle w(i,j)=A(i)+B(i)\phi(i,j),$ (5)

where $ \phi(i,j)$ is a known function, and $ A(i)$ and $ B(i)$ are two coefficients from Shuey equation (Shuey, 1985). In the simplest form, $ \phi(i,j)$ can be chosen as the offset at trace $ i$ . In order to estimate $ A(i)$ and $ B(i)$ , it can be turned to minimize the following objection function of misfit between the trend and trace amplitude:

$\displaystyle F_i=\sum_{j=0}^{N-1}\left(d(i,j)-A(i)-B(i)\phi(i,j)\right)^2.$ (6)

Taking derivatives with respect to $ A(i)$ and $ B(i)$ in equation A-2, setting them to zero, and solving the two linear equations, the following two least-squares fitting coefficients are obtained:

$\displaystyle A(i)=\frac{\displaystyle\sum_{j=0}^{N-1}\phi(i,j)\sum_{j=0}^{N-1}...
...laystyle\left(\sum_{j=0}^{N-1}\phi(i,j)\right)^2-N\sum_{j=0}^{N-1}\phi^2(i,j)},$ (7)

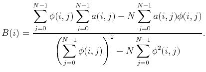
$\displaystyle B(i)=\frac{\displaystyle\sum_{j=0}^{N-1}\phi(i,j)\sum_{j=0}^{N-1}...
...laystyle\left(\sum_{j=0}^{N-1}\phi(i,j)\right)^2-N\sum_{j=0}^{N-1}\phi^2(i,j)}.$ (8)

Substituting $ w(i,j)=A(i)+B(i)\phi(i,j)$ into equation 2 leads to the AB semblance.

Appendix B

Review of local similarity measured by local correlation

Equations B-1 to B-5 review the derivation of the local correlation measure from Fomel (2007a). In linear algebra notation, the correlation of two signals can be expressed as a product of two least-squares scalar inverses $ \gamma_1$ and $ \gamma_2$ .
$\displaystyle \gamma^2$ $\displaystyle =$ $\displaystyle \gamma_1 \gamma_2\;,$ (9)
$\displaystyle \gamma_1$ $\displaystyle =$ $\displaystyle \left(\mathbf{a}^T \mathbf{a}\right)^{-1} \left(\mathbf{a}^T \mathbf{b}\right)\;,$ (10)
$\displaystyle \gamma_2$ $\displaystyle =$ $\displaystyle \left(\mathbf{b}^T \mathbf{b}\right)^{-1} \left(\mathbf{b}^T \mathbf{a}\right)\;,$ (11)

where $ \mathbf{a}$ and $ \mathbf{b}$ are vectors with the elements $ a_{i}$ and $ b_{i}$ . Let $ \mathbf{A}$ be a diagonal operator composed of the elements $ \mathbf{a}$ and $ \mathbf{B}$ be a diagonal operator composed of the elements $ \mathbf{b}$ . Localizing equations B-2 and B-3 is equivalent to adding regularization to inversion. Scalars $ \gamma_{1}$ and $ \gamma_{2}$ then turn into vectors $ \mathbf{c}_1$ and $ \mathbf{c}_2$ .
$\displaystyle \mathbf{c}_1$ $\displaystyle =$ $\displaystyle \left[\lambda^2 \mathbf{I} +
\mathbf{S} \left(\mathbf{A}^T \...
...bda^2 \mathbf{I}\right)\right]^{-1} 
\mathbf{S} \mathbf{A}^T \mathbf{b}\;,$ (12)
$\displaystyle \mathbf{c}_2$ $\displaystyle =$ $\displaystyle \left[\lambda^2 \mathbf{I} +
\mathbf{S} \left(\mathbf{B}^T \...
...bda^2 \mathbf{I}\right)\right]^{-1} 
\mathbf{S} \mathbf{B}^T \mathbf{a}\;.$ (13)

where $ \mathbf{S}$ is a shaping regularization (Fomel, 2007b) and $ \lambda$ is scaling factor that controls the relative scaling of $ \mathbf{A}$ and $ \mathbf{B}$ . The square root of a component-wise product of vectors $ \mathbf{c}_{1}$ and $ \mathbf{c}_{2}$ defines a local-similarity measure.


next up previous [pdf]

Next: Bibliography Up: Deng etc.: AVO stacking Previous: Conclusions

2017-01-17